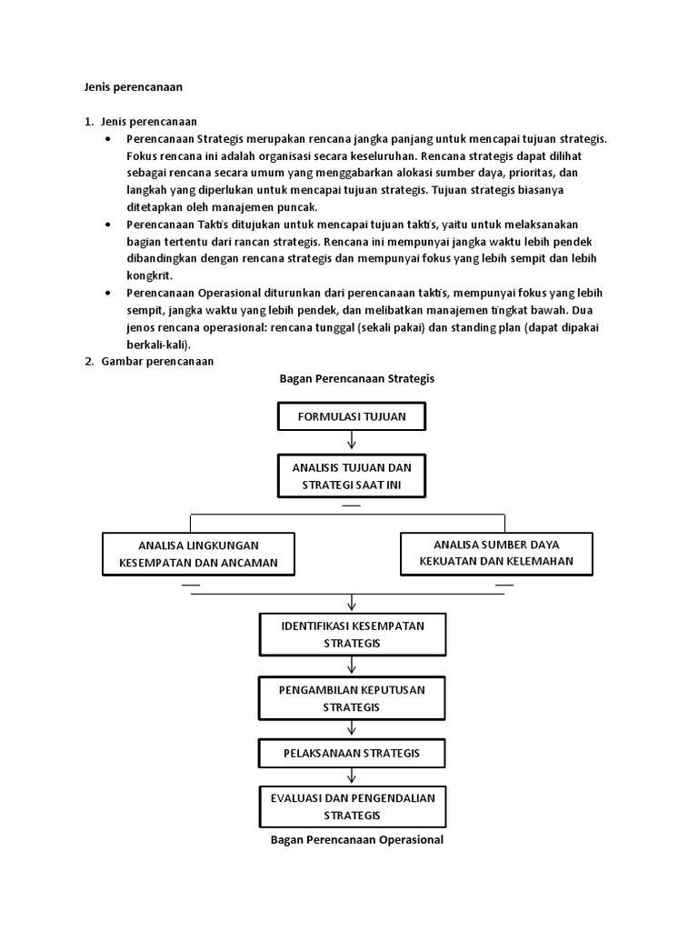
Gambar Bagan Perencanaan Operasional

Oct 13, 2020

Perencanaan Strategis Dan Operasional Bisnis - Bisnis Indatu PROSES PERENCANAAN DALAM MANAJEMEN - Proses Industri Perencanaan Strategis Dan Operasional Bisnis - Bisnis Indatu Perencanaan Strategis Dan Operasional Bisnis - Bisnis Indatu 1. Jelaskan jenis perencanaan! 2. Gambarkan bagan perencanaan opersional dan perencanaan - Brainly.co.id PERENCANAAN OPERASIONAL - ppt download novia_05: PERENCANAAN STRATEGI Perencanaan Strategis Dan Operasional Bisnis - Bisnis Indatu Perencanaan Strategis Dan Operasional Bisnis - Bisnis Indatu Perencanaan Strategis Dan Operasional Bisnis - Bisnis Indatu Skema Ruang Lingkup Manajemen Sumber Daya Manusia Mengembangkan UMKM dengan Strategi Akuntansi Manajemen - Viral - www.indonesiana.id Material Requirement Planning (MRP) - REFERENSI MANAJEMEN OPERASI Proses Operasi/Produksi | Pendidikan Ekonomi Gambar Bagan Perencanaan Operasional Dan Perencanaan Strategis - AR Production Manajemen Strategik: Konsep manajemen strategis sebagai paradigma baru di lingkungan Organisasi Nirlaba atau non profit Perencanaan dan pengorganisasian Sistem Perencanaan Produksi (Bag. 2/7) : Manufacturing Planning & System Control - IPQI PERENCANAAN STRATEGIK - ppt download PENGANTAR MANAJEMEN FUNGSI PERENCANAAN DAN PENGAMBILAN KEPUTUSAN BAB 6 - ppt download Pengambilan keputusan-manajemen Kabar Pendidikan: Fungsi Perencanaan dalam Manajemen Bagaimana Proses Perencanaan Kota dan Wilayah Secara Komprehensif Hubungan antara Perencanaan dan Pengendalian Jenis perencanaan Penjelasan Lengkap Fungsi Manajemen Menurut Henry Fayol PDF) makalah perencanaan dan penganggaran | nuri bisiranawati - Academia.edu Apa yang dimaksud dengan Rencana Strategis (Strategic Plan)? - Manajemen - Dictio Community miswar muhammad N. Syahadat: PERENCANAAN SDM RESUME SISTEM INFORMASI MANAJEMEN BAB 9. Mencapai Keunggulan Operasional dan Kedekatan dengan Pelanggan: Aplikasi Perusahaan PENDEKATAN AHP dalam PERENCANAAN PENDIDIKAN Struktur Organisasi Proyek Beserta Tugas Masing-Masing Pekerja | Pengadaan (Eprocurement) Manajemen Rantai Pasokan/ SCM - REFERENSI MANAJEMEN OPERASI Fungsi Perencanaan dan Pengambilan Keputusan - ppt download MANAJEMEN TEKNOLOGI | tuti_ajalah Proses Operasi/Produksi | Pendidikan Ekonomi Apa yang dimaksud dengan Manajemen Strategis atau Strategic Management? - Manajemen - Dictio Community Material Requirement Planning (MRP) - REFERENSI MANAJEMEN OPERASI Cara Membuat Rencana Bisnis (Business Plan): Langkah demi Langkah Class 106C: Catat! Ini Tahapan Memulai Operasional Bisnis Kuliner | SerataFoods Struktur Organisasi — BPU UNS Ruang lingkup Manajemen Operasi - REFERENSI MANAJEMEN OPERASI PERENCANAAN DAN PENYELENGARAAN EVENT SEMINAR NASIONAL STARTUP DI INDUSTRI KREATIF ZAMAN NOW BERBASIS DIGITAL BUSINESS (Tinjauan Perencanaan dan Pembuatan Keputusan PDF) STUDI TENTANG PENERAPAN ADMINISTRASI PERENCANAAN DAN PENGENDALIAN PRODUKSI PADA PT SANWA ENGINEERING BATAM ANGGARAN SEKTOR PUBLIK - ppt download 305698995-SOP-Revisi-Rencana-Operasional-Program.docx PERENCANAAN DAN PENYELENGARAAN EVENT SEMINAR NASIONAL STARTUP DI INDUSTRI KREATIF ZAMAN NOW BERBASIS DIGITAL BUSINESS (Tinjauan proses perencanaan SDM Tinjauan Mata Kuliah Contoh business plan MODUL MANAJEMEN EVENT Bagan Rencana Usaha Tahun Awal ANGGARAN. - ppt download PERENCANAAN DAN PENYELENGARAAN EVENT SEMINAR NASIONAL STARTUP DI INDUSTRI KREATIF ZAMAN NOW BERBASIS DIGITAL BUSINESS (Tinjauan IDENTIFIKASI FUNGSI MANAJEMEN SUMBER DAYA MANUSIA PADA USAHA MENENGAH (STUDI PADA CV. KOTA AGUNG) Fungsi Perencanaan dalam Manajemen | Masyarakat Belajar Perencanaan dan Pembuatan Keputusan Blog Ekonomi, Akuntansi & Manajemen: FUNGSI DAN MACAM ANGGARAN Manajemen Operasi: Pengertian, Penerapan Fungsi Manajemen Operasi, dan Proses Transformasi - Ilmu Ekonomi ID Perencanaan Pengelolaan Keuangan Desa - KeuanganDesa.info - Mengawal Tata Kelola Keuangan Desa SOP-Revisi-Rencana-Operasional-Program.docx Perencanaan dan Pembuatan Keputusan Model Pengembangan Kurikulum Pembelajaran - Hidayatullah Aplikasi Model Perencanaan Keuangan Perusahaan [+Contoh Analisis] Model Perencanaan SDM menurut Andrew Sikula - Manajemen SDM From A to Z Perencanaan Strategis Dan Operasional Bisnis - Bisnis Indatu PERENCANAAN. - ppt download Material Requirement Planning (MRP) - REFERENSI MANAJEMEN OPERASI PDF) MANAJEMEN SUMBER DAYA MANUSIA Standar Operasional Prosedur: Unsur, Simbol, Jenis, Fungsi, Tujuan Perencanaan dan Pembuatan Keputusan Class 106C: Catat! Ini Tahapan Memulai Operasional Bisnis Kuliner | SerataFoods Modul 4 Perencanaan Operasi Jaringan Irigasi Standar Operasional Prosedur - SOP Adalah [4 Contoh] Ruang lingkup Manajemen Operasi - REFERENSI MANAJEMEN OPERASI Software Testing dalam lingkup Software Engineering – Software Engineering ITTP PERENCANAAN STRATEGI SISTEM INFORMASI: STUDI KASUS PERUSAHAAN ASURANSI JIWA Perencanaan dan Pembuatan Keputusan PT Indofood CBP Sukses Makmur tbk. – LuchaKamala’s Blog PERENCANAAN Doris Febriyanti, M.Si - ppt download Standar Operasional Prosedur - SOP Adalah [4 Contoh] PERENCANAAN DAN PENJADWALAN PROYEK BAB I PENDAHULUAN 1.1 Latar Belakang Sesuai dengan amanat Undang-Undang No. 25 Tahun 2004 tentang Sistem Perencanaan Pembangunan f~J~ Perencanaan Pengelolaan Keuangan Desa - KeuanganDesa.info - Mengawal Tata Kelola Keuangan Desa BPJS Ketenagakerjaan Definisi & Cara Membuat Standar Operasional Prosedur (SOP) + 3 Contoh Class 106C: Catat! Ini Tahapan Memulai Operasional Bisnis Kuliner | SerataFoods PROFIL DPPKAD PERENCANAAN DAN PENYELENGARAAN EVENT SEMINAR NASIONAL STARTUP DI INDUSTRI KREATIF ZAMAN NOW BERBASIS DIGITAL BUSINESS (Tinjauan Perpustakaan Nasional Republik Indonesia PDF) BUKU MANAJEMEN SUMBER DAYA MANUSIA (2) Sistem Perencanaan Produksi (Bag. 2/7) : Manufacturing Planning & System Control - IPQI 1.1.5 Ep 4 Sop Revisi Rencana Operasional - Copy - Copy Standar Operasional Prosedur - SOP Adalah [4 Contoh] WALIKOTA MOJOKERTO bah’,r’a klasifikasi, kodefikasi, dan nomenklaf-rr Manajemen Rantai Pasokan/ SCM - REFERENSI MANAJEMEN OPERASI Pengertian Manajemen Manajemen merupakan proses perencanaan (Planning), pengorganisasian (Organizing), pengarahan (Actuating) dan pengawasan (Controlling) - ppt download

Gambar Bagan Klasifikasi Dikotom

Gambar Sp Kue