Nama Gambar Kubus

Oct 12, 2020

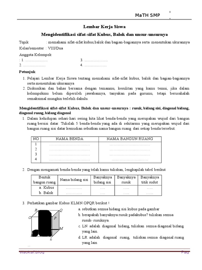
11 Gambar Pola Jaring Jaring Kubus : Rumus dan Cara Membuat Matematika Pelita: KUBUS Kubus (Pengertian, Jaring, Luas & Volume, Contoh Soal) Bangun Ruang: Pengertian, Macam, Rumus, Sifat, Contoh Soal Rumus Kubus | Volume Kubus dan Luas Permukaan Kubus - Advernesia Bangun Ruang – Pengertian, Rumus, Dan Macam – Macamnya 11 Gambar Pola Jaring Jaring Kubus : Rumus dan Cara Membuat Pengertian Bangun Ruang : Macam Macam Bangun Ruang, Penjelasan dan Rumusnya Lengkap – Pelajaran Sekolah Online Kubus – Unsur-Unsur Kubus, Jaring-Jaring, Rumus dan Contoh Soal Lengkap – Pelajaran Sekolah Online Macam Macam Bangun Ruang, Bentuk dan Rumusnya Lengkap Kubus dan Balok – Matematika Kusuka Di antara gambar di bawah ini, jaring-jaring kubus HIJK. LMNO yang tepat adalah soalnya ada di foto - Brainly.co.id Pengertian serta Jumlah Sisi, Rusuk dan Titik Sudut Kubus dan Balok - Berpendidikan.Com Jaring-jaring Kubus | Pendidikan Matematika Nama-nama bangun geometri - YouTube Menghitung volume Bangun Ruang dan luas Bidang Datar dengan Excel - Belajar Excel sebutkan nama sisi, rusuk, dan titik sudut dari bangun ruang berikut. - Brainly.co.id Diagonal Bidang, Ruang, dan Bidang Diagonal Kubus Unsur-Unsur Kubus beserta Penjelasannya - Berpendidikan.Com GEOMETRI TIGA DIMENSI. - ppt download Kubus (Pengertian, Jaring, Luas & Volume, Contoh Soal) perhatikan gambar kubus KLMN.OPQR di samping a) gambarlah semua diagonal sisinya dengan warna yang - Brainly.co.id Bangun Ruang: Pengertian, Macam, Rumus, Sifat, Contoh Soal Program Belajar Matematika dari Rumah, Gambar Pola Jaring Kubus dan Sifat Bangun Ruang Limas - Halaman all - Serambi Indonesia Kubus (Pengertian, Jaring, Luas & Volume, Contoh Soal) Apakah Rusuk Kubus Sama Panjang? Ada Berapa Banyak Rusuk Kubus? Tulislah Nama Rusuk-rusuk Tersebut - Tribun Padang Gambar Jaring-Jaring Kubus Lengkap Beserta Contoh Soalnya Pengertian dan Cara Membuat Jaring-jaring Kubus dan Balok - Berpendidikan.Com Lkpd luas permukaan kubus nama dan jumlah bagian kubus=sisi,rusuk,titik sudut diagonal sisidiagonal ruang bidang diagonal - Brainly.co.id Introduction - Kubus & Balok Bangun Ruang Kubus: Rumus, Jaring-jaring, Unsur-Unsur - GIM-BI Gambar Jaring-Jaring Kubus Lengkap Beserta Contoh Soalnya LKS Volume Balok dan Kubus Bangun Ruang Sisi Datar SMP Kelas 8 - RumusHitung.Com BANGUN RUANG SISI DATAR - ppt download KUBUS Bangun Ruang – Pengertian, Rumus, Dan Macam – Macamnya unsur-unsur kubus - Misteri Kubus Pengertian dan Sifat-Sifat Berbagai Macam Bangun Ruang Lengkap ( Kubus, Balok, Bola, Tabung, Kerucut, Limas, Prisma ) – Matematika itu menyenangkan Bangun Ruang Pengertian Diagonal Bidang dan Diagonal Ruang - Konsep Matematika (KoMa) Pengertian Kubus dan Balok, Unsur-Unsur, Jaring-Jaring, Rumus, dan Contoh Soalnya di ketahui kubus KLMN.POQR pada gambar di samping lengkapi nama titik sudut jaring jaring kubus - Brainly.co.id Unsur Unsur Bangun Ruang Kelas V SD | Mikirbae.com LKS-Kubus 11 Gambar Pola Jaring Jaring Kubus : Rumus dan Cara Membuat BANGUN RUANG KUBUS MEDIA PEMBELAJARAN Oleh: NI KETUT SUNARTI - ppt download Daftar Lengkap Rumus Bangun Ruang (Kubus, Balok, Tabung, Bola, dll) Kubus, Balok, Prisma, dan Limas - Materi Lengkap Matematika Jual TISSUE KUBUS KECIL (bisa kostum nama,warna atupun gambar lain) - Kota Surabaya - chuzme | Tokopedia kubus | pengertian rumus volume, luas permukaan Untitled Document Nama-nama bangun geometri - YouTube Contoh Soal Bangun Ruang dan Jawaban [+Pembahasan] Rumus Kubus: Volume, Luas, Keliling, dan Cara Menghitung Rumus Volume dan Luas Permukaan Kubus, Materi dan Contoh unsur-unsur kubus - Misteri Kubus Macam – Macam Bangun Ruang – Penjelasan dan Rumusnya Matematika Pelita: KUBUS Bangun Ruang Sisi Datar: Macam, Sifat, Rumus, Soal, Pembahasan Kubus (Pengertian, Jaring, Luas & Volume, Contoh Soal) Lampiran Kubus : Pengertian, Sifat, Unsur, dan Rumus - Nilai Mutlak 54 Gambar Jaring Jaring Balok : Rumus dan Cara Menghitung Nama-nama Bentuk dalam Bahasa Jepang | Kamus Bahasa Jepanguntuk Belajar Bahasa Jepang 10 Ruang Dimensi Tiga (1) Kunci Jawaban Belajar dari Rumah TVRI SD Kelas 1-3, Selasa 1 September 2020: Mengenal Bangun Ruang - Halaman all - Tribunnewswiki.com Mobile Matematika Rumus Bangun Ruang | Rangkuman Materi Prisma, Limas, dan Bola Nama-Nama Bangun Ruang, Materi Belajar dari Rumah Matematika SD Kelas 1-3 - Semua Halaman - Bobo Jaring-jaring Kubus cara mbuat bangun ruang MENGENAL KUBUS Pada Gambar di samping di perlihatkan kubus ABCD.EFGH - ppt download Jaring Jaring Balok -Pengertian, Rumus, Ciri, Unsur & Gambarnya LKS-Kubus Pengertian Bangun Ruang dan Macam-Macamnya A. Lengkapilah nama nama titik sudut pada jaring jaring kubus tersebut !B. Tentukan pasangan alas - Brainly.co.id Kubus – Unsur-Unsur Kubus, Jaring-Jaring, Rumus dan Contoh Soal Lengkap – Pelajaran Sekolah Online Rumus Bangun Ruang: Kubus, Balok, Tabung, Bola dll cara mbuat bangun ruang Perhatikan Gambar ! Buatlah Dua Gambar Jaring-jaring Kubus Lainnya yang Berbeda! TVRI Senin 27 April - Tribun Pontianak Jual BOX TISSUE KUBUS KECIL (bisa kostum nama,warna atupun gambar lain) - Kota Surabaya - chuzme | Tokopedia DOC) 10 Ruang Dimensi Tiga | revina windiana - Academia.edu Kubus : Pengertian, Sifat, Unsur, dan Rumus - Nilai Mutlak Langkah-Langkah Pada Software Wingeom (Windows Geometri) | miftahurrizka Diagonal Bidang, Ruang, dan Bidang Diagonal Kubus 18. bangun ruang sisi datar Kubus (Pengertian, Jaring, Luas & Volume, Contoh Soal) KUBUS DAN BALOK - Isriyanto Rumus Volume dan Rumus Luas Permukaan Balok beserta Contoh Soal dan Pembahasannya - Berpendidikan.Com Bangun Ruang Sisi Datar: Macam, Sifat, Rumus, Soal, Pembahasan 3. Berdasarkan gambar soal nomor 2, alas balok tersebut berbentuk bangun datar… A. Persegi B. Persegi panjang C. Belah ketupat D. - PDF Download Gratis Rumus Bangun Ruang Sisi Tegak Dalam Matematika Bangun Ruang Sisi Datar | idschool Kubus, Balok, Prisma, dan Limas - Materi Lengkap Matematika Kubus adalah contoh sebuah benda ruang yang dibatasi oleh enam bidang datar yang masing | astuti wildan - Academia.edu Membuat gambar bangun ruang kubus dengan rusuk terserah masing2 siswa. Beri nama kubus ABCD.EFGH. - Brainly.co.id Rumus Volume dan Luas Permukaan Kubus, Materi dan Contoh GEOMETRI TIGA DIMENSI. - ppt download

Gambar Kubus 2D

Gambar Kubus Abcd