Contoh Surat Lamaran Cpns Kabupaten Kaur

Oct 10, 2020

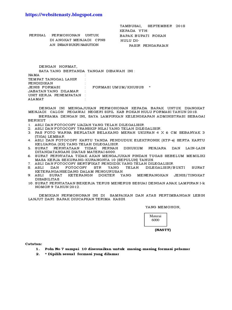
Ini Formasi CPNS Kaur dan Contoh Surat Lamaran | Tras.id Kaur | Kabar Tobo Kito Contoh Surat Lamaran dan Surat Pernyataan CPNS Download Link CPNS 2019 Kab Kaur PENGUMUMAN-CPNS-2018-FINAL.pdf Pengumuman Seleksi CPNS Kabupaten Bengkulu Utara Formasi Tahun Anggaran 2019 contoh surat lamaran cpns.pdf Contoh Surat Lamaran dan Surat Pernyataan CPNS Download Link contoh surat lamaran cpns.pdf Surat Permohonan Menjadi Perangkat Desa .Doc | guru profesional https://www.caradaftarcpns.com/cara-daftar-instansi-cpns-periode-2-untuk-lulusan-sma-slta-smk-sederajat 2018-06-12T08:44:48Z https://www.caradaftarcpns.com/wp-content/uploads/2017/09/Daftar-Instansi- CPNS-Periode-2-Untuk-Lulusan-SMA-SLTA … BKDPSDM KAUR – PEMERINTAH KABUPATEN KAUR Contoh Surat Lamaran CPNS 2019 Tulis Tangan atau Ketik [Format Doc-Pdf] | FORMAT ADMINISTRASI DESA Contoh Surat Lamaran Cpns Baru Website Nasty Contoh Surat Pernyataan CPNS 2019 | FORMAT ADMINISTRASI DESA https://www.caradaftarcpns.com/cara-daftar-instansi-cpns-periode-2-untuk-lulusan-sma-slta-smk-sederajat 2018-06-12T08:44:48Z https://www.caradaftarcpns.com/wp-content/uploads/2017/09/Daftar-Instansi- CPNS-Periode-2-Untuk-Lulusan-SMA-SLTA … Formasi dan Jabatan CPNS 2018 Pemerintah Kab. Kaur | iCPNS 03 persyaratan perangkat desa Contoh Surat Lamaran Kerja Pemerintahan Desa | Surat, Pemerintah, Pedesaan https://www.caradaftarcpns.com/cara-daftar-instansi-cpns-periode-2-untuk-lulusan-sma-slta-smk-sederajat 2018-06-12T08:44:48Z https://www.caradaftarcpns.com/wp-content/uploads/2017/09/Daftar-Instansi- CPNS-Periode-2-Untuk-Lulusan-SMA-SLTA … 15++ Contoh Surat Lamaran Cpns - Kumpulan Contoh Gambar Berbagai Contoh Surat Permohonan Yang Baik PENGUMUMAN-CPNS-2018-FINAL.pdf CPNS Kabupaten Kaur 2018 Contoh Surat Lamaran Pencalonan Bpd – Cute766 Contoh Surat Lamaran Perangkat Desa - ciptacendekia.com Formasi CPNS Bengkulu Tengah | Bengkulutoday - Terkini dan Aktual https://www.caradaftarcpns.com/cara-daftar-instansi-cpns-periode-2-untuk-lulusan-sma-slta-smk-sederajat 2018-06-12T08:44:48Z https://www.caradaftarcpns.com/wp-content/uploads/2017/09/Daftar-Instansi- CPNS-Periode-2-Untuk-Lulusan-SMA-SLTA … BKDPSDM KAUR – PEMERINTAH KABUPATEN KAUR Contoh Format Surat Lamaran CPNS 2019 dan Surat Pernyataan CPNS 2019 | CONTOH FORMAT ADMINISTRASI DESA Seleksi Penerimaan CPNS Dilingkungan Pemerintah Daerah Kabupaten Lebong – Kabupaten lebong Contoh Surat Lamaran CPNS 2019 Tulis Tangan atau Ketik [Format Doc-Pdf] | FORMAT ADMINISTRASI DESA Daerah | Tras.id | Halaman 6 Contoh Surat Lamaran Perangkat Desa Surat 35 – cute766 Hasil Seleksi Administrasi CPNS Kabupaten Kaur 2019 Tak Perlu Bingung, Ini Contoh Surat Lamaran CPNS 2019 BKDPSDM KAUR – PEMERINTAH KABUPATEN KAUR Contoh Surat Palsu Pengadaan CPNS Tahun 2014 s.d 2015 Resmi MENPAN Terbaru September 2018 Download Contoh Surat Lamaran Seleksi CPNS Kemendikbud 2018 PDF Word - Tipssehatcantik.com Contoh Surat Lamaran dan Surat Pernyataan untuk Pendaftaran CPNS Kemenag 2019, Download di Sini - Tribunnews.com Mobile Download Contoh Surat Lamaran dan Pernyataan Seleksi CPNS 2019 PROVINSI KABUPATEN KOTA PDF Word Contoh Surat Lamaran CPNS 2019 Tulis Tangan atau Ketik [Format Doc-Pdf] | FORMAT ADMINISTRASI DESA 35+ Contoh Surat Permohonan Kerja, Izin, Bantuan, Dana - Contoh Surat 4 Contoh Surat Lamaran CPNS 2019 Resmi (Format dari Kemendikbud) Pendaftaran CPNS Bengkulu Utara Resmi Dibuka | Gerbang Bengkulu Seleksi Penerimaan CPNS Dilingkungan Pemerintah Daerah Kabupaten Lebong – Kabupaten lebong Download Format Surat Lamaran CPNS 2019 dan Surat Pernyataan CPNS 2019 | Desa | Desa | Desa DESA MEMBANGUN INDONESIA 13 Contoh Surat Lamaran Kerja yang Menarik untuk Fresh Graduate ! | Klik website untuk melihat lebih banyak Surat | Tulisan, Tulisan tangan, Desain cv Contoh Surat Lamaran Perangkat Desa 2020 | FORMAT ADMINISTRASI DESA Kaur Kesra Contoh Surat Lamaran CPNS 2019 Tulis Tangan atau Ketik [Format Doc-Pdf] | FORMAT ADMINISTRASI DESA Pengumuman Seleksi CPNS Kabupaten Bengkulu Utara Formasi Tahun Anggaran 2019 CPNS 2019 KAB. KAUR.pdf Ini Formasi CPNS Kaur dan Contoh Surat Lamaran | Tras.id 20+ Contoh Surat Lamaran Menjadi Perangkat Desa - Kumpulan Contoh Gambar Tak Perlu Bingung, Ini Contoh Surat Lamaran CPNS 2019 CPNS 2019, Kabupaten Kaur Buka Lowongan 106 Formasi - Tirto.ID BKDPSDM KAUR – PEMERINTAH KABUPATEN KAUR Contoh Surat - Guru Ilmu Sosial 4 Contoh Surat Lamaran CPNS 2019 Resmi (Format dari Kemendikbud) Layanan Call Center Pendaftaran CPNS 2018 Seluruh Kementerian/Lembaga/Daerah Apa Saja Syarat Ikuti Seleksi Perangkat Desa? - KH Hasil Ujian SKD CPNS Kab Kaur 2019 2020 - SALAMDROID Contoh Surat - Guru Ilmu Sosial Kementerian Pendayagunaan Aparatur Negara dan Reformasi Birokrasi - Instansi Pemerintah Mulai Umumkan Lowongan CPNS Contoh Surat Pengantar Berkas Atau Dokumen - Guru Ilmu Sosial Surat pernyataan bersedia dicalonkan menjadi perangkat desa Lowongan Kerja Pendamping KUBE, Pengurus Karang Taruna dan Tagana Bisa Ikut | Bengkulutoday - Terkini dan Aktual contoh surat lamaran cpns.pdf Contoh Surat - Guru Ilmu Sosial Persatuan dan Kesatuan Bangsa | Soal Tes CPNS / ASN Tes Wawasan Kebangsaan (TWK) - bahassoalCPNS 4 Contoh Surat Lamaran CPNS 2019 Resmi (Format dari Kemendikbud) Pendaftaran CPNS Kabupaten Seluma 2019 | Jadwal Syarat Soal Tes CAT Contoh Surat - Guru Ilmu Sosial PENGUMUMAN HASIL AKHIR SELEKSI CPNS KAB. LAMPUNG SELATAN TAHUN 2018 - berita lampung | beritaonline | berita lampung barat | KejarFakta.com Bengkulu Tengah.pdf 03 persyaratan perangkat desa https://www.caradaftarcpns.com/cara-daftar-instansi-cpns-periode-2-untuk-lulusan-sma-slta-smk-sederajat 2018-06-12T08:44:48Z https://www.caradaftarcpns.com/wp-content/uploads/2017/09/Daftar-Instansi- CPNS-Periode-2-Untuk-Lulusan-SMA-SLTA … Formasi CPNS Kaur | Bengkulutoday - Terkini dan Aktual Kaur | Kabar Tobo Kito Ini Formasi Lengkap CPNS Bengkulu Utara Rencana Asuhan Keperawatan (Ncp) Berbagai Contoh Surat Permohonan Yang Baik 4 Contoh Surat Lamaran CPNS 2019 Resmi (Format dari Kemendikbud) CPNS 2019 Kab Lebong Surat pernyataan bersedia dicalonkan menjadi perangkat desa Bulan Ini – Lowongan Kerja Kaur 2020 Terbaru | Job Fair - Lowongan Kerja 2020 Lulusan SMK - Lulusan SMA & SMP Berkas Lamaran CPNS Dikirim Via Pos, Edisi 12 November 2019 - Radar Kaur Loker Brebes - Opslag | Facebook Begini Cara Urus SKCK, Syarat Daftar CPNS 2019 - Halaman all - Tribun Batam Surat pernyataan bersedia dicalonkan menjadi perangkat desa Pernyataan Bhinneka Tunggal Ika | Soal Tes CPNS / ASN Tes Wawasan Kebangsaan (TWK) - bahassoalCPNS Contoh Surat - Guru Ilmu Sosial Ini Formasi CPNS Kaur dan Contoh Surat Lamaran | Tras.id contoh permohonan untuk menjadi TPHD Provinsi Bengkulu 2014 BKDPSDM KAUR – PEMERINTAH KABUPATEN KAUR Pengumuman Seleksi CPNS Kabupaten Bengkulu Utara Formasi Tahun Anggaran 2019 Contoh Surat Dinas Untuk Kepala Desa Catatlah hasil perbandingan unsur unsur kebahasaan pada kedua surat lamaran pekerjaan tersebut - Brainly.co.id Informasi Penerimaan CPNS 2019 Kabupaten Kaur

Contoh Surat Lamaran Kerja Sebagai Staf Tata Usaha Di Sekolah

Contoh Surat Lamaran Kerja Via Gmail