Contoh Surat Lamaran Kerja Di Pt Migas

Oct 10, 2020

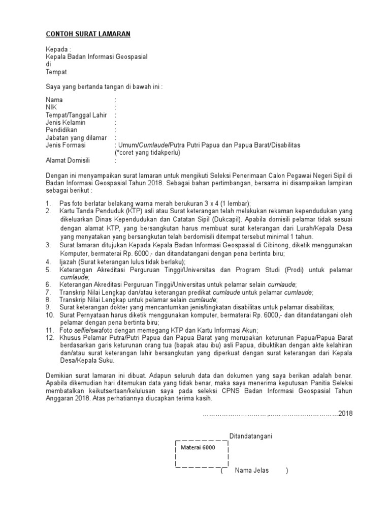
Berkas lamaran Contoh Surat Lamaran Kerja Pt Migas Berkas lamaran contoh surat lamaran Contoh surat lamaran Contoh Surat Lamaran Kerja Umum 1.docx - Muara Jawa 25 Agustus 2018 Hal Lamaran Pekerjaan Kepada Yth PT KALIRAYA SARI Jl Ir Soekarno Muara Jawa Kutai | Course Hero Contoh Surat Lamaran & Cv Pt Pertamina Ep 27 Contoh Surat Lamaran Kerja yang Baik dan Benar Terbaru (.Doc) Surat Lamaran ben jobs: 10 Contoh Surat Lamaran Kerja Dan CV Contoh Surat Lamaran Kerja Umum 1.docx - Muara Jawa 25 Agustus 2018 Hal Lamaran Pekerjaan Kepada Yth PT KALIRAYA SARI Jl Ir Soekarno Muara Jawa Kutai | Course Hero Contoh Surat Lamaran Kerja Yang Baik dan Benar | STAR MULTI PAYMENT | Pulsa termurah tangerang bekasi bogor bandung, tabloid pulsa,www.starpulsa.com Lamaran Pungkook Contoh Surat Lamaran Bank Bca Terbaru Informasi Lowongan Kerja SMK SMA Terbaru Contoh Surat Lamaran Pekerjaan Melalui activity honest Lulusan SMA SMK D3 S1 Semua Jurusan Lowongan BANK BUMN CPNS Contoh contoh surat lamaran Contoh Surat Lamaran & Cv Pt Pertamina Ep Surat Lamaran Kerja Bumn - Guru Ilmu Sosial Contoh Cv Lamaran Kerja Operator Warnet - Contoh FC Contoh Surat Lamaran Kerja Perusahaan Migas Contoh Surat Lamaran Kerja Yang Lolos Seleksi HRD | KampusUNJ.com Surat Lamaran Kerja Bumn - Guru Ilmu Sosial Contoh Format Surat Lamaran CPNS Kemenkumham SLTA/D3/S1/S2 Tahun 2019 Big Contoh Format Surat Lamaran Contoh Surat Lamaran Kerja Bahasa Inggris Dan Artinya | Business Contoh 27 Contoh Surat Lamaran Kerja yang Baik dan Benar Terbaru (.Doc) Contoh Surat Lamaran Kerja Alfamart - Nekopencil Surat Lamaran PT. WESPI.pdf 13+ Contoh Surat Pengalaman Kerja Perusahaan, Administrasi & Lainnya Surat Lamaran Kerja Bumn - Guru Ilmu Sosial Berkas lamaran Surat Lamaran PT. Perusahaan Gas Negara PGN Sebagai QC Contoh surat lamaran pekerjaan guru contoh surat lamaran satpam Download Contoh Surat Lamaran Kerja Perusahaan Tambang Terbaru - Berkas Surat Contoh Surat Lamaran Kerja Di Pt Adira Finance Contoh Surat Lamaran Kerja CPNS Kemenkumham Tulis Tangan | Tulisan, Tulisan tangan, Cv kreatif Contoh Surat Lamaran Kerja Bahasa Inggris, CV, Wawancara 5 TIPS KHUSUS CARI KERJA KONSTRUKSI | Project Team 15+ Contoh Surat Lamaran Kerja Di Bank dalam Bahasa Inggris 15+ Contoh Surat Lamaran Kerja Di Bank dalam Bahasa Inggris Contoh Format Surat Lamaran CPNS Kemenkumham SLTA/D3/S1/S2 Tahun 2019 Surat Lamaran Kerja - Damri 15+ Contoh Surat Lamaran Kerja Di Bank dalam Bahasa Inggris Cara Membuat Surat Lamaran Kerja Yang Baik dan Benar contoh surat lamaran Contoh Format Surat Lamaran CPNS Kemenkumham SLTA/D3/S1/S2 Tahun 2019 PT. MEINDO ELANG INDAH Surat Lamaran… - Bojonegoro Karir Disperinaker | Facebook 5 TIPS KHUSUS CARI KERJA KONSTRUKSI | Project Team Inilah Contoh Surat Lamaran Pekerjaan menjadi Satpam - Jurnal Security 10+ Contoh Surat Lamaran Kerja Bahasa Inggris Beserta Artinya 27 Contoh Surat Lamaran Kerja yang Baik dan Benar Terbaru (.Doc) Surat Lamaran Kerja Bumn - Guru Ilmu Sosial Lowongan Kerja Chevron Terbaru Contoh Surat Lamaran Kerja Lengkap - BeritaTop 10+ Contoh Surat Lamaran Kerja Bahasa Inggris 2020 (Terlengkap) 15+ Contoh Surat Lamaran Kerja Di Bank dalam Bahasa Inggris Surat Lamaran Kerja Bumn - Guru Ilmu Sosial Download 15 Contoh Surat Lamaran Kerja Terbaru yang Baik dan Benar - Blog BikinCV Lowongan Kerja BPBD Kabupaten Pacitan 15+ Contoh Surat Lamaran Kerja Di Bank dalam Bahasa Inggris Cara Membuat Surat Lamaran Pekerjaan Yang Baik dan Benar 2019 | CaraBuatBikin.blogspot.com Tips Lamaran Kerja Dan Cv - [DOC Document] Magang Beasiswa ACA 2018 ~ Akademi Asuransi 4 Contoh Surat Lamaran Kerja untuk Berbagai Profesi - Notepam Surat Lamaran Kerja Bumn - Guru Ilmu Sosial 10+ Contoh Surat Lamaran Kerja Bahasa Inggris dan Cara Membuatnya Penipuan PT ASIA TOUR & TRAVEL berkedok lowongan kerja PT ANGKASA PURA !!! – Fitri Lukmana Surat Lamaran Kerja Bumn - Guru Ilmu Sosial PT. MEINDO ELANG INDAH Surat Lamaran… - Bojonegoro Karir Disperinaker | Facebook 6+ Contoh Surat Penawaran Lamaran Dalam Kerja Bahasa Inggris Surat Lamaran Kerja Bumn - Guru Ilmu Sosial Cara Membuat Surat Lamaran Pekerjaan Yang Baik dan Benar 2019 | CaraBuatBikin.blogspot.com Lowongan Kerja RSUD dr. Darsono Pacitan Tingkat SMA SMK D3 S1 Tahun 2020 Surat Panggilan Tes Pertamina Adalah Hoax Informasi Lowongan Kerja SMK SMA Terbaru Contoh Surat Lamaran Kerja Untuk office Boy Lulusan SMA SMK D3 S1 Semua Jurusan Lowongan BANK BUMN CPNS Surat Lamaran Kerja Bumn - Guru Ilmu Sosial 15+ Contoh Surat Lamaran Kerja Di Bank dalam Bahasa Inggris Contoh surat lamaran pekerjaan guru Surat Lamaran Kerja Bumn - Guru Ilmu Sosial Contoh Cv Yang Menarik Tulis Tangan - BEST RESUME EXAMPLES 15+ Contoh Surat Lamaran Kerja Di Bank dalam Bahasa Inggris 7+ Contoh CV Lamaran Kerja Fresh Graduate yang Baik dan Benar ! 13+ Contoh Surat Pengalaman Kerja Perusahaan, Administrasi & Lainnya Cara Buat Surat Lamaran Kerja yang Baik dan Benar | KASKUS Contoh Surat Permohonan Pembayaran Tagihan File Word Membuat Surat Lamaran Kerja untuk Melamar Ke Perusahaan Migas - Job-Like.com Magazine Surat Lamaran Kerja Bumn - Guru Ilmu Sosial Contoh Surat Lamaran Kerja Di Pt Adira Finance Contoh Surat Lamaran Kerja Bahasa Inggris, CV, Wawancara 60 Contoh Surat Lamaran Kerja Format Doc & PDF 2020 | Myjourney PT. Indonesia Morowali Industrial Park - IMIP - Posts | Facebook Contoh Surat Lamaran Kerja Bahasa Inggris Dan Artinya | Business 13+ Contoh Surat Pengalaman Kerja Perusahaan, Administrasi & Lainnya Lowongan Kerja Dinas Perhubungan Jateng Surat Lamaran Kerja Bumn - Guru Ilmu Sosial 6+ Contoh Surat Penawaran Lamaran Dalam Kerja Bahasa Inggris Lowongan Kerja PT Hoga Reksa Garment Garut Tahun 2019 | Lowongan Kerja Terbaru Tahun 2020 | Informasi Rekrutmen CPNS & PPPK 2020

Contoh Surat Lamaran Kerja Smk Via Email

Contoh Surat Lamaran Kerja Dalam Bahasa Inggris Dan Artinya Yang Singkat