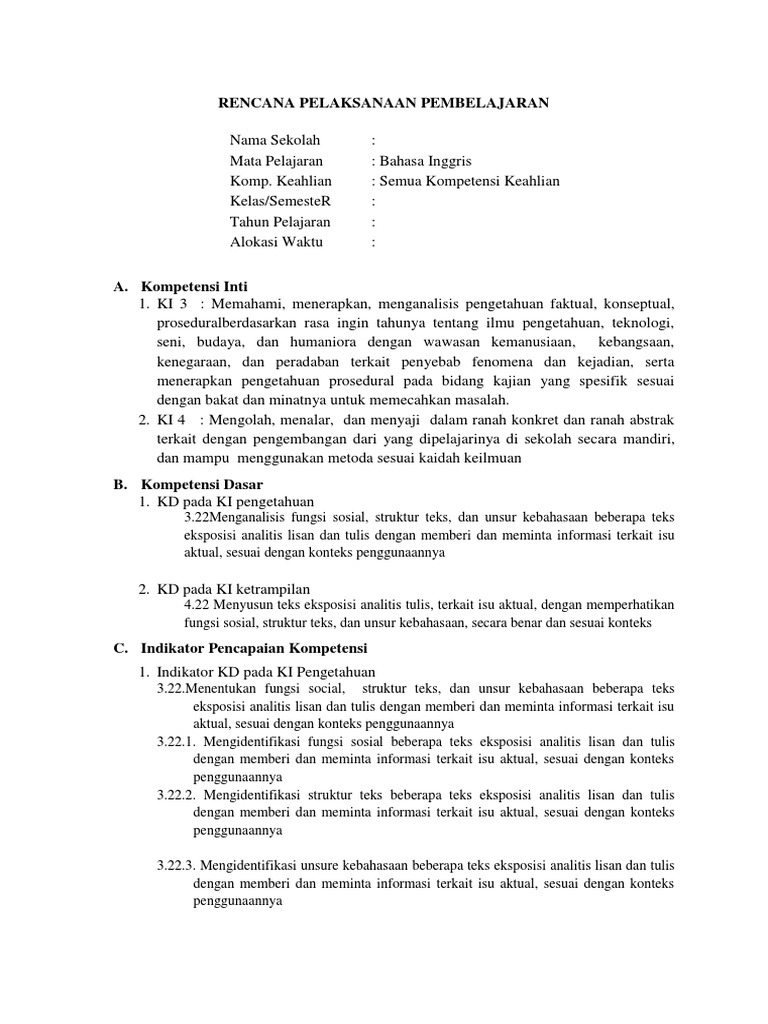
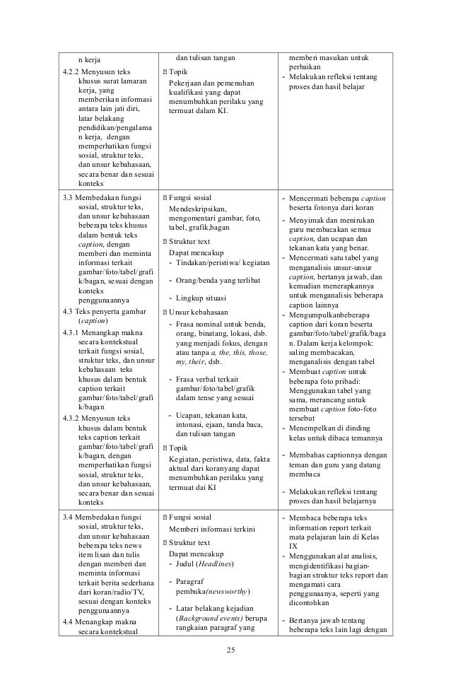
Contoh Teks Eksposisi Analitis Bahasa Inggris

Oct 10, 2020

Contoh Analytical Exposition About Pollution Tempat Yes – Cute766 Contoh Teks Eksposisi Tentang Full Day School - Guru Ilmu Sosial DOC) RPP English XI Kurikulum 2013 | radesi dewi - Academia.edu DOC) RPP ANALYTICAL EXPOSITION TEXT WRITING SKILL XI.docx | ais navila - Academia.edu RPP analytical exposition Kumpulan Contoh Teks Eksposisi Bahasa Inggris [Struktur & Artinya] Contoh Tesis Dan Argumen Dalam Bahasa Inggris | contoh soal dan contoh pidato lengkap Contoh Teks Eksposisi Tentang Full Day School - Guru Ilmu Sosial Contoh Tesis Dan Argumen Dalam Bahasa Inggris | contoh soal dan contoh pidato lengkap Kumpulan Contoh Teks Eksposisi Bahasa Inggris [Struktur & Artinya] Contoh Teks Eksposisi Analisis Beserta Strukturnya Contoh Tesis Dan Argumen Dalam Bahasa Inggris | contoh soal pelajaran puisi dan pidato populer Bahasa indonesia-teks eksposisi Contoh Teks Eksposisi Analisis - Pengertian, Struktur dan Contoh 6 Contoh Analytical Exposition Text Bahasa Inggris Komplit dengan Arti | English Admin analitis ekposisi TEKS EKSPOSISI Contoh Teks Eksposisi Tentang Pentingnya Sarapan Pagi - Dapatkan Contoh Rpp Exposition Contoh Tesis Dan Argumen Dalam Bahasa Inggris | contoh soal dan contoh pidato lengkap Silabus Bahasa Inggris SMA Versi 120216 / K13 ukbm big 3.4 | Formaldehida | Pestisida Pengertian EKSPOSISI Adalah: Tujuan, Kaidah, Jenis jenis dan Struktur Ki dan kd mapel binggris sma Contoh Teks Eksposisi Tentang Full Day School - Guru Ilmu Sosial Contoh Teks Eksposisi Analisis Beserta Strukturnya Pengertian Dan Contoh Hortatory Exposition Text In English | Pendidikan Jarak Jauh | Pembelajaran Analytical Exposition Text Kurikulum 2013 | Uma Seo tolong bantu kak,diterjemahkan kedalam bahasa indonesia - Brainly.co.id contoh teks eksposisi analitik dalam bahasa inggris Bahasa i nggris 12 smk 4. Analisis teks eksposisi “Kenakalan Remaja” mengenai kebahasaan :1. Kohesi : a. kohesi leksikal - Brainly.co.id Silabus bhs inggris wajib kls 11 Teks Eksposisi Analitik: Pengertian, Struktur, Ciri dan Contoh Contoh Teks Eksposisi Analisis - Pengertian, Struktur dan Contoh 6 Contoh Analytical Exposition Text Bahasa Inggris Komplit dengan Arti | English Admin PDF) KESULITAN MAHASISWA DALAM MENULIS TEKS EKSPOSISI: ANALISIS BERBASIS GENDER Pengertian, Fungsi, Ciri Dan Generic Structure “Analytical Exposition” Beserta Contoh Dalam Kalimat Bahasa Inggris Contoh Teks Eksposisi Analisis Beserta Strukturnya 25+ Contoh dan pengertian Teks Eksposisi / Jenis / Struktur/ Ciri-Ciri – BisaKali.net 9 Contoh Analytical Exposition Text Berbentuk Surat Berbagai Topik dan Arti | English Admin Teks Eksposisi : Pengertian, Contoh, Struktur, Tujuan, Ciri Perbedaan Analytical Exposition vs Hortatory Exposition Beserta Contohnya 6 Contoh Analytical Exposition Text Bahasa Inggris Komplit dengan Arti | English Admin 9+ Contoh Teks Eksposisi Lengkap Pengertian, Ciri-ciri, Jenis, Struktur [+] Eksposisi ppt RPP analytical Contoh Teks Eksposisi (Singkat dan Lengkap) Pendidikan, Kesehatan, Berita, dan Lain Sebagainya. … Contoh Teks Eksposisi Tentang Full Day School - Guru Ilmu Sosial PDF) Pembelajaran Menulis Teks Eksposisi dengan Menggunakan Pendekatan Kooperatif Tipe Investigasi Kelompok di SMP Analytical Exposition : Pengertian, Tujuan, Ciri, Contoh Modul bahasa-inggris-sma-n-solok Pengertian Jenis Ciri-ciri Struktur dan Contoh Teks Eksposisi RPP analytical exposition PDF) Register Bisnis Properti dalam Majalah Properti Indonesia sebagai Alternatif Bahan Ajar yang Inovatif Teks Eksposisi Rpp Analytical Exposition Teks Eksposisi - Pengertian, Contoh, Struktur, Ciri, Kaidah Silabus Bahasa Inggris SMA Versi 120216 / K13 Soal Essay Teks Eksposisi - Guru Ilmu Sosial 15+ Contoh Teks Eksposisi Singkat | Terbaik & Terlengkap Contoh Tesis Dan Argumen Dalam Bahasa Inggris | contoh soal dan contoh pidato lengkap Contoh Teks Eksposisi - Pengertian, Struktur, Ciri | dosenpintar ANALYTICAL EXPOSITION - ppt download 10 Contoh Karangan Eksposisi - Ciri, Kerangka dan Struktur Calaméo - Bahasa Inggris XI Kumpulan Contoh Teks Eksposisi Bahasa Inggris [Struktur & Artinya] 12. RPP 4.docx Contoh Soal Dan Materi Pelajaran 10: Contoh Tesis Argumen Dan Rekomendasi Contoh Teks Eksposisi Singkat Beserta Strukturnya Terlengkap RPP SMK Ttg Analytical Exposition BARU 6 Contoh Analytical Exposition Text Bahasa Inggris Komplit dengan Arti | English Admin Contoh Teks Eksposisi Tentang Full Day School - Guru Ilmu Sosial 4. Analytical Exposition Text | Rekreasi | Hobi GURU BERBAGI | Teks Eksposisi Analitis Contoh Soal Dan Materi Pelajaran 2: Contoh Tesis Dan Argumen Dalam Bahasa Inggris Contoh Teks Eksposisi Singkat Beserta Strukturnya Terlengkap RPP analytical exposition - [PDF Document] 7 Contoh Analytical Exposition Pendek Bahasa Inggris Teks Eksposisi Hortatorik: Pengertian, Struktur, Ciri dan Contoh Contoh Teks Eksposisi Bahasa Inggris - Contoh Resource 15+ Contoh Teks Eksposisi Singkat dalam Berbagai Kasus (Lengkap) ANALYITICAL-EXPOSITION Contoh Tesis Dan Argumen Dalam Bahasa Inggris | contoh soal pelajaran puisi dan pidato populer DOC) Rpp-pak-hartono-sertifikasi | Mentary DeLfia - Academia.edu 20+ Contoh Teks Eksposisi Singkat Beserta Struktur Teks Eksposisi (Lingkungan, Pendidikan, Kesehatan) Struktur Teks Explanasi Dalam Bahasa Inggris 6 Contoh Analytical Exposition Text Bahasa Inggris Komplit dengan Arti | English Admin Rpp Teks Eksposisi Kurikulum 2013 - Guru Ilmu Sosial Contoh Teks Eksposisi Adalah - Pengertian, Struktur, Ciri, Jenis, Fungsi Contoh Teks Eksposisi Singkat Beserta Strukturnya Terlengkap Teks Eksposisi - Ciri, Fungsi, Struktur, Kaidah & Contoh [Kumpulan] Contoh Teks Prosedur Lengkap Dan Terbaru Buatlah contoh teks eksposisi mengenai tema analisis bencana dalam bahasa inggris - Brainly.co.id 10 Contoh Soal Analytical Exposition Text dan Kunci Jawaban Terbaru - Paja Tapuih Analisis Teks Eksposisi 20 Contoh Teks Eksposisi Berita, Kesehatan dll dan Struktur Teks Eksposisi (Lengkap): Pengertian, Struktur, Tujuan, Ciri, Jenis Contoh Soal Essay Teks Eksposisi Beserta Jawaban - Guru Ilmu Sosial Contoh Teks Eksposisi Singkat Beserta Strukturnya Terlengkap Contoh Teks Eksposisi Tentang Full Day School - Guru Ilmu Sosial

Contoh Teks Eksposisi Singkat Tentang Covid 19

Contoh Teks Laporan Hasil Observasi Tentang Alam Dan Strukturnya