Gambar Struktur Pati

Oct 13, 2020

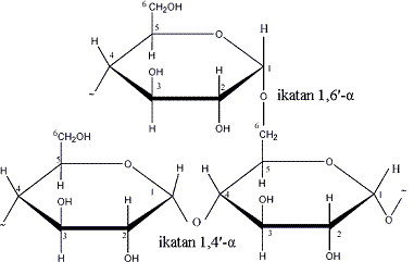
Pati Alami Vs Pati Termodifikasi – Department of Food Technology Gambar 3. Struktur Pati. (a) butiran pati dari jagung normal (30 m),… | Download Scientific Diagram Pengertian Pati dan fungsinya – Hisham.id Gelatinisasi pada Mie » Kanal Pengetahuan FTP UGM Pati Alami Vs Pati Termodifikasi – Department of Food Technology Pengertian Polisakarida, Struktur, Contoh, Kegunaan, Fungsi, Kimia welcome to my life^^: Step 2: Pati Gelatinisasi pada Mie » Kanal Pengetahuan FTP UGM Pati Ubi Jalar…Apakah anda pernah dengar..broo ? | Asep Jeni Amilosa - Wikipedia bahasa Indonesia, ensiklopedia bebas 4 BAB II TINJAUAN PUSTAKA 2.1 Pati 2.1.1 Pengertian Pati Pati adalah karbohidrat yang merupakan polimer glukosa, dan terdiri ata Bagaimana kandungan Pati didalam air cucian beras? - Biologi - Dictio Community perhatikan gambar struktur monosakaridaA. amilum atau pati merupakan polimeri dari pB. p merupakan - Brainly.co.id Perbedaan Pati dan Glikogen ~ Buah Pikiran Ku Polimer Alam | Ilmu Kimia | Artikel dan Materi Kimia Struktur Karbohidrat dan Energi yang menyertai Metabolisme - ppt download Amilosa, Pati, Amilopektin gambar png Apa yang Anda ketahui tentang polisakarida? - Kimia - Dictio Community Polisakarida PENINGKATAN NILAI GUNA PATI ALAMI MELALUI PROSES MODIFIKASI PATI Agustien Zulaidah*) Abstrak Pati merupakan karbohidrat yang ba Amilosa dan Selulosa : Serupa, tapi Tak Sama | Warung Sains Teknologi MAKRO MOLEKUL – sakdimahblog Studi Pemisahan Maltosa dan Pati dengan menggunakan Membran Campuran CA-PMMA Oleh: Gaos Mulyawan ( ) Dosen Pembimbing: Dr. Suryo Gandasasmita. - ppt download Amilopektin, Proyeksi Haworth, Pati gambar png BAB II TINJAUAN PUSTAKA 2.1 Tanaman Jagung Jagung adalah salah satu tanaman pangan penghasil karbohidrat yang terpenting di duni 2 Tinjauan Pustaka. 2.1 Pati Kentang - PDF Download Gratis Struktur Karbohidrat – twin’s blog Monosakarida Disakarida dan Polisakarida : Pengertian, Perbedaan dan Klasifikasi Apa Perbedaan | Amilopektin dan Glikogen Amilopektin - Wikipedia bahasa Indonesia, ensiklopedia bebas Gambar 5. Kadar amilosa pati tinggi amilosa pada berbagai interaksi… | Download Scientific Diagram A. amilum atau pati merupakan poli meri dari PB. P merupakan bahan cadangan utama pada tumbuhanC. - Brainly.co.id Pati Hidrolisis Pati Enzimatis - Praktikum Biokimia Perairan 2017 Untitled Struktur, Jenis, Sifat dan Sumber Selulosa - KajianPustaka.com Amilosa Dan Amilopektin Dekstrin | Catatan Ringan Nur Hidayat Pengertian dan Struktur Karbohidrat, Contoh, Fungsi, Penggolongan, Kimia granula pati, kentang pisang dan singkong Jaringan Dokumentasi dan Informasi Hukum | Home :: JDIH Kabupaten Pati Agribisnis : Pengertian Beras IV. HASIL DAN PEMBAHASAN - PDF Download Gratis 106] STUDY PENGARUH KANDUNGAN AMILOSA DAN AMILOPEKTIN UMBI-UMBIAN TERHADAP KARAKTERISTIK FISIK PLASTIK BIODEGRADABLE DENGAN Pla Pengertian Maltosa, Sifat, Fungsi, Manfaat dan Perbedaan Gambar 3. Struktur Pati. (a) butiran pati dari jagung normal (30 m),… | Download Scientific Diagram II. TINJAUAN PUSTAKA PRODUKSI ETANOL DENGAN VARIASI INOKULUM DAN KADAR PATI JAGUNG PADA KULTUR SEKALI UNDUH. 6 BAB II TINJAUAN PUSTAKA DAN LANDASAN TEORI A. Tinjauan Pustaka Yulianti dan Erliana (2012) telah melakukan sintesis edible fil Untitled A. Gambaran Umum MTs. Abadiyah Kuryokalangan Gabus Pati - IMPLEMENTASI MODEL PEMBELAJARAN BERPASANG PASANGAN DALAM MENINGKATKAN KECERDASAN INTRAPERSONAL SISWA PADA MATA PELAJARAN AL-QUR’AN HADITS KELAS VIII DI MTS. ABADIYAH KURYOKALANGAN GABUS PATI Fakta atau Hoaks: Nasi mengandung pengawet jika berwarna biru ketika ditetesi Betadine | Zywie Laboratorium DOC) Sifat fungsional, fisikokimia dan struktur pati jagung oksidasi cross linked.docx | Rizka Ardhiyana - Academia.edu Pati SINTESIS BIOETANOL DARI LIMBAH PERTANIAN BERBASIS SENYAWA GULA, PATI DAN SERAT - Coffee & Cacao Training Center Fruktan - Wikipedia bahasa Indonesia, ensiklopedia bebas Karbohidrat Adalah - Pengertian, Jenis, Klasifikasi Dan Contohnya BAB II TINJAUAN PUSTAKA 2.1 Tanaman Jagung Jagung adalah salah satu tanaman pangan penghasil karbohidrat yang terpenting di duni Pati Alami Vs Pati Termodifikasi – Department of Food Technology Structural Engineer | Structural Designer Pati Jawa Tengah Gambar 5. Kadar amilosa pati tinggi amilosa pada berbagai interaksi… | Download Scientific Diagram Struktur dan Fungsi karbohidrat (Biologi) | Usaha321.net Polimer Amilum. - ppt download STRUKTUR ORGANISASI – Badan Pengawas Pemilu Pati chemistry of novita scorn: Januari 2014 Pengertian Selulosa, Jenis, Struktur, Sifat dan Manfaatnya Sel Tumbuhan : Pengertian, Ciri, Fungsi, Struktur, Jenis & Gambar Beras Analog UTS SEM I 2011 BIO XI Ubi Jalar Putih II. TINJAUAN PUSTAKA 2.1 Gadung (Dioscorea hispida D.) Umbi gadung (Dioscorea Hispida Dennst) adalah golongan tanaman tropis den Gelatinisasi pada Mie » Kanal Pengetahuan FTP UGM Laporan Kimia Pangan ITP UNS SMT3 Karbohidrat BAB II TINJAUAN PUSTAKA 2.1 Tanaman Jagung Jagung adalah salah satu tanaman pangan penghasil karbohidrat yang terpenting di duni Pati Ubi Jalar Sebutkan 7 Perbedaan selulosa dan pati | Biologi | Sridianti.com Dekstrin | Catatan Ringan Nur Hidayat Gambar 5. Kadar amilosa pati tinggi amilosa pada berbagai interaksi… | Download Scientific Diagram Struktur, Jenis, Sifat dan Sumber Selulosa - KajianPustaka.com BAB II TINJAUAN PUSTAKA 2.1. Polimer Biodegradable - BETTY IKA HIDAYAH BAB II Pengertian Kloroplas, Fungsi, Struktur dan Cara Kerjanya Struktur, Komposisi, dan Nutrisi Jagung Pengertian Glukosa, Struktur, Sifat, dan Fungsinya | Ilmu Kimia SINTESIS BIOETANOL DARI LIMBAH PERTANIAN BERBASIS SENYAWA GULA, PATI DAN SERAT - Coffee & Cacao Training Center Jenis Karbohidrat dan contohnya – Apa-Itu.Net Untitled Pembentukan Disakarida dan Polisakarida 45+ Soal Protein dan Polimer Pilihan Ganda [+Pembahasan] HASIL DAN PEMBAHASAN Modifikasi Pati Singkong - PDF Download Gratis Biomolekul - Karbohidrat, Protein, Lipid, Asam Nukleat: Struktur, Uji, Golongan Struktur Jaringan Epidermis : Pada Daun Rhoeo Discolor, Akar, Batang Karbohidrat – Struktur dan Sumber Karbohidrat Terlengkap Apa yang kamu ketahui tentang disakarida dan oligosakarida? - Kimia - Dictio Community II. TINJAUAN PUSTAKA 2.1 Gadung (Dioscorea hispida D.) Umbi gadung (Dioscorea Hispida Dennst) adalah golongan tanaman tropis den 4 BAB II TINJAUAN PUSTAKA 2.1 Pati 2.1.1 Pengertian Pati Pati adalah karbohidrat yang merupakan polimer glukosa, dan terdiri ata Fungsi Amiloplas - Pengertian, Struktur, Ciri, Membran dan Gambarnya Sel Tumbuhan - Bagian-bagian/Organel,. Ciri-ciri, Fungsi, Struktur Lengkap BAB II TINJAUAN PUSTAKA 2.1 Kulit Singkong Kulit singkong sering kali dianggap limbah yang tidak berguna oleh sebagian industri TAMAN BACAAN DI PATI - core.ac.uk ?· Batasan Essensi Taman Bacaan di Pati 36 3.2.8. Struktur Organisasi… - [PDF Document] Suka Nasi tapi Ingin Diet atau Diabetes? Pati Resisten Saja! Halaman 1 - Kompasiana.com Sel Tumbuhan : Pengertian, Fungsi, Bagian Organel, Gambar [Lengkap]

Gambar Stadion Bola

Gambar Struktur Membran Sel Beserta Penjelasannya