Gambar Tema Alam Semesta

Oct 12, 2020

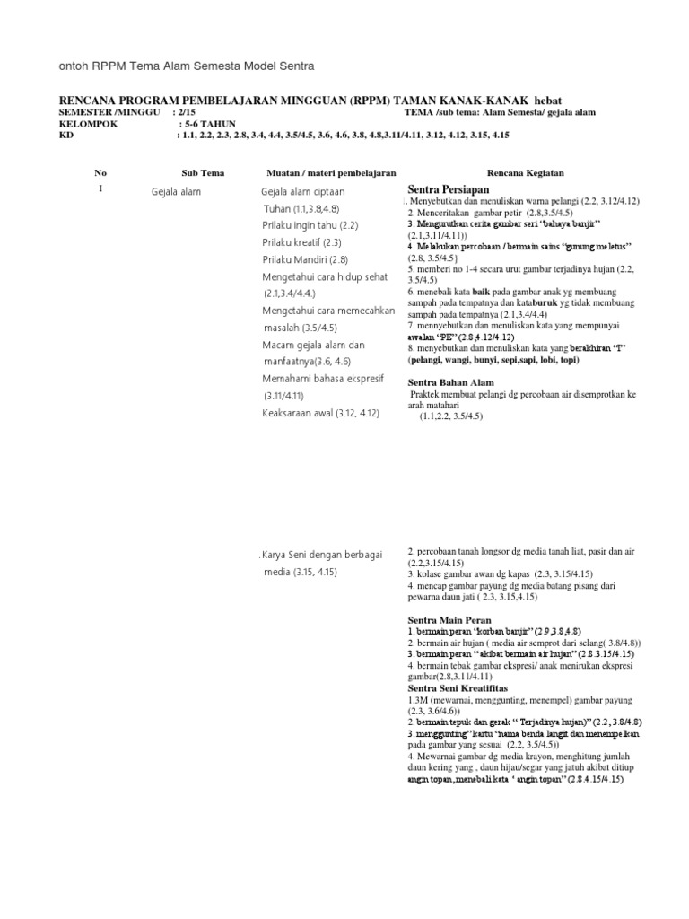
mewarnai gambar tema alam semesta untuk anak tk di 2020 | Pemandangan, Gambar, Warna mewarnai gambar tema alam semesta untuk anak tk | Gambar flora dan fauna, Sejarah seni, Pemandangan Buku PAUD 4-5 Tahun Tema ALAM SEMESTA K-2013 Semester 2 | Shopee Indonesia idekreatif KREASI PELANGI DENGAN KERTAS LIPAT DAN KAPAS KEGIATAN KREATIF TEMA ALAM SEMESTA PAUD/TK - YouTube Buku PAUD 4-5 Tahun Tema ALAM SEMESTA K-2013 Semester 2 | Shopee Indonesia Pin di Gambar Dan Foto Pemandangan 84 Gambar Alam Semesta Untuk Tk Paling Keren - Gambar Pixabay Gambar Untuk Mewarnai Tema Alam Semesta Buku Aktivitas Tema Alam Semesta B - Penerbit Bukit Mas Mulia 84 Gambar Alam Semesta Untuk Tk Paling Keren - Gambar Pixabay TK B Tema 11 Alam Semesta Semester 2 – Store Tiga Serangkai Buku PAUD TK Tematik K13 Kelompok A Tema Alam Semesta | Shopee Indonesia CARA MELUKIS DAN MEWARNAI ALAM SEMESTA ANAK TK PAUD - YouTube Puzzle Alam Semesta Bermain Mengenal Benda Langit | Kayu Seru Jual New Alat Peraga Edukasi Tema Alam Semesta - Jakarta Selatan - fawnshop | Tokopedia BUKU TEMATIK TK B TEMA 7 – Aktif Bercerita Tentang Alam Semesta Contoh Gambar Mewarnai Tema Alam Semesta | Ideku Unik contoh RKH (Rencana Kegiatan Harian) | pgsdyuliana 300 Gambar Anak Tk Alam Semesta HD - Infobaru GURU BERBAGI | RPPH Tema Alam Semesta (Hujan) Buku PAUD TK Tematik K13 Kelompok A Tema Alam Semesta | Shopee Indonesia ilmu pengetahuan 1: Mewarnai Anak Paud Tema Alam Semesta 53+ Gambar Alam Semesta Untuk Paud Kekinian - Gambar Pixabay Contoh Gambar Mewarnai Tema Alam Semesta | Ideku Unik alam semesta Pembelajaran 3 Tema 8 Subtema 1 Bumi Bagian dari Alam Semesta 23 Gambar Pemandangan Yg Simple Untuk Digambar - 182 Gambar Ilustrasi Alam Yang Mudah Digambar Gambarilus - Download 15 C… di 2020 | Cara menggambar, Sketsa, Gambar hewan Jual MAJALAH TK PAUD TEMA ALAM SEMESTA - Kota Banjar - Monita345 | Tokopedia 100 Contoh Gambar Ilustrasi Bertema Alam | Gambarilus Membuat kolase dengan ampas kelapa di… - Paud Photizo Solo | Facebook 53+ Gambar Alam Semesta Untuk Paud Kekinian - Gambar Pixabay Buku PAUD TK Tematik K13 Kelompok A Tema Alam Semesta | Shopee Indonesia Artikel Archives - Page 2 of 5 - Dunia Belajar Anak GURU BERBAGI | tema Alam Semesta Lanjutan Tema Alam Semesta Tema Alam semesta Percobaan Gunung… - TK Aisyiyah 5 Denpasar | Facebook Kelas 3 SD/MI Tematik 8 Bumi dan Alam Semesta Siswa 2017 | Ebook Anak TEPUK PELANGI tema alam semesta - YouTube Jual Paud Pra TK Tema Alam Semesta - Jakarta Pusat - GRAMEDIA- | Tokopedia Buku PAUD 4-5 Tahun Tema ALAM SEMESTA K-2013 Semester 2 | Shopee Indonesia Contoh Gambar Mewarnai Tema Alam Semesta Gambar Mewarnai Pemandangan Alam (2) | Buku mewarnai, Sketsa, Seni krayon Ini hasil karya anak anak dengan tema:… - Kreasi PAUD indonesia | Facebook Buku PAUD TK Tematik K13 Kelompok B Tema Alam Semesta | Shopee Indonesia Beibehang Foto Kustom Wallpaper Tata Surya Tema Alam Semesta Hotel Latar Belakang TV Mural Kertas Dinding Dekorasi Rumah Mural Wallpaper|photo wallpaper|style wallpapercustom photo wallpaper - AliExpress Jual Produk Tema 7 Alam Semesta Murah dan Terlengkap Juni 2020 | Bukalapak idekreatif #sentraseni KEGIATAN KREATIF MUDAH KREASI PELANGI TEMA ALAM SEMESTA PAUD - YouTube Jual Tematik TK B Tema 7 Aktif Bercerita tentang Alam Semesta Semester 2 - Kab. Bandung - CV NUANSA AULIA | Tokopedia Kumpulan Contoh Sketsa Gambar Tema Alam Semesta - Informasi Masa Kini Tema 7 Alam Semesta – THURSINA Seri Sains Anak Alam Semesta, Rahasia Keajaiban Ruang Angkasa | Ebook Anak Alat Peraga Edukatif Tema Alam Semesta Untuk PAUD • Madaniah™ Contoh Gambar Mewarnai Tema Alam Semesta | Ideku Unik 84 Gambar Kolase Alam Semesta HD Terbaru - Kumpulan Gambar Kolase Rppm Rpph Alam Semesta Pin on Karikatur 300 Gambar Anak Tk Alam Semesta HD - Infobaru Buku PAUD TK Tematik K13 Kelompok B Tema Alam Semesta | Shopee Indonesia Luar Angkasa Alam Semesta Poster Cetakan Ruang Kanvas Lukisan Di Dinding Astronot Roket Gambar Seni untuk Anak anak Kamar Anak Dekorasi|Painting & Calligraphy| - AliExpress idekreatif #gurupaud KREASI AWAN HUJAN UNTUK ANAK TEMA ALAM SEMESTA SUB TEMA GEJALA ALAM PAUD - YouTube Contoh Gambar Tema Alam Semesta | Ideku Unik Buku PAUD TK Tematik K13 Kelompok A Tema Alam Semesta | Shopee Indonesia Tema Alam Semesta - Penerbit Bukit Mas Mulia 84 Gambar Alam Semesta Untuk Tk Paling Keren - Gambar Pixabay 21 Gambar Tema Alam Semesta Paud- Contoh Membuat Subtema Alam Semesta Untuk Paud Paud Jateng - Download Jual Produ… in 2020 | Electric kettle, Kitchen appliances, Thermos Jual Buku Aktivitas Anak Islam Tema Alam Semesta - Jakarta Selatan - goos_shoop | Tokopedia Contoh Gambar Tema Alam Semesta | Ideku Unik TK B Tema : Alam Semesta (Sentra Bahan Alam) Part 2 - YouTube 53+ Gambar Alam Semesta Untuk Paud Kekinian - Gambar Pixabay contoh RKH (Rencana Kegiatan Harian) | pgsdyuliana QT-Alam semesta kartun stiker, Stiker dinding akrilik, 3d tiga dimensi tata letak kelas budaya tema dinding dekorasi dinding TK | | Shopee Indonesia Contoh Gambar Mewarnai Tema Alam Semesta | Ideku Unik Pembelajaran 3 Tema 8 Subtema 1 Bumi Bagian dari Alam Semesta Contoh RPPM Tema Alam Semesta Model Sentra Tema 8 Bumi dan Alam Semesta, SD/MI Kelas 3 Kurikulum 2013 Materi TK B, Tema: Alam semesta Subtema Benda langit #GuruOnlineErlangga - YouTube Rencana Program Pembelajaran Harian (RPPH) Paling populer 15 Gambar Wallpaper Warna Biru Keren- 7 Wallpaper Keren Tema Universe Alam Semesta Realme 277 Wallpaper La… di 2020 | Bawah air, Hello kitty, Menara eiffel GURU BERBAGI | TEMA ALAM SEMESTA/ BENDA-BENDA ALAM/ BATU KERIKIL Benda-Benda Alam TK B Tema 9 BAB IV PENELITIAN DAN PEMBAHASAN A. Hasil penelitian Penelitian ini dilakukan di PAUD Persil Jalan Perjuangan II, Kelurahan Sun Bumi dan Alam Semesta Buku Guru Kelas 3 tema 8 Gambar : naik, matahari, ruang, cat, mode, lingkaran, ilmu, bumi, Desain, siswa, alam semesta, benda angkasa, semua, planit, dilukis, air raksa, Mars, pengajaran, Jupiter, saturn, venus, Neptunus, tata surya, orbit, astronautika, kelas 21 Contoh Puisi Tentang Alam - seruni.id Buku TK PAUD Tema ALAM SEMESTA | Shopee Indonesia Untitled 5O Lukisan dan gambar Pemandangan Alam yang sangat Menginspirasi Materi Kelas 3 Peta Pikiran : Bumi dan Alam Semesta - Primaindisoft RPPH klp B Smt 2 Tema Alam semesta subtema gejala alam PDF) RKH TK SEMESTER 2 TEMA ALAM SEMESTA | ALYA RAISA NADYA barabai - Academia.edu Puisi Alam Tentang Keindahan Pegunungan Lautan ~ Bergambar 95 Gambar Alam Semesta Untuk Anak Tk Kekinian - Gambar Pixabay Aku Senang Mengamati Benda Langit Ciptaan Allah Alam Semesta yang Indah 11 - Tema LINE | LINE STORE Project » SENTRA ART DAN BLOCK Lembar Aktivitas PAUD TK Mengenal Anggota Tata Surya | Tata surya, Ruang angkasa, Belajar di rumah Buku Aktivitas Tema Alam Semesta A - Penerbit Bukit Mas Mulia Wallpapers Tema Alam Semesta TPU Kasus Telepon Silikon Gambar Foto untuk iPhone 6 7 8 S XR X PLUS 11 Pro Max|Dilengkapi Kasus| - AliExpress Gambar Latar Belakang Ruang Universe Kartun Moden Kartun Alam Semesta Ruang Tema Propaganda Promosi Poster Latar Belakang, Semesta, Ruang, Tema Latar belakang untuk Muat turun Percuma Buku PAUD TK Tematik K13 Kelompok A Tema Alam Semesta | Shopee Indonesia

Gambar Tema Sekolah

Gambar Bibir Laki Laki