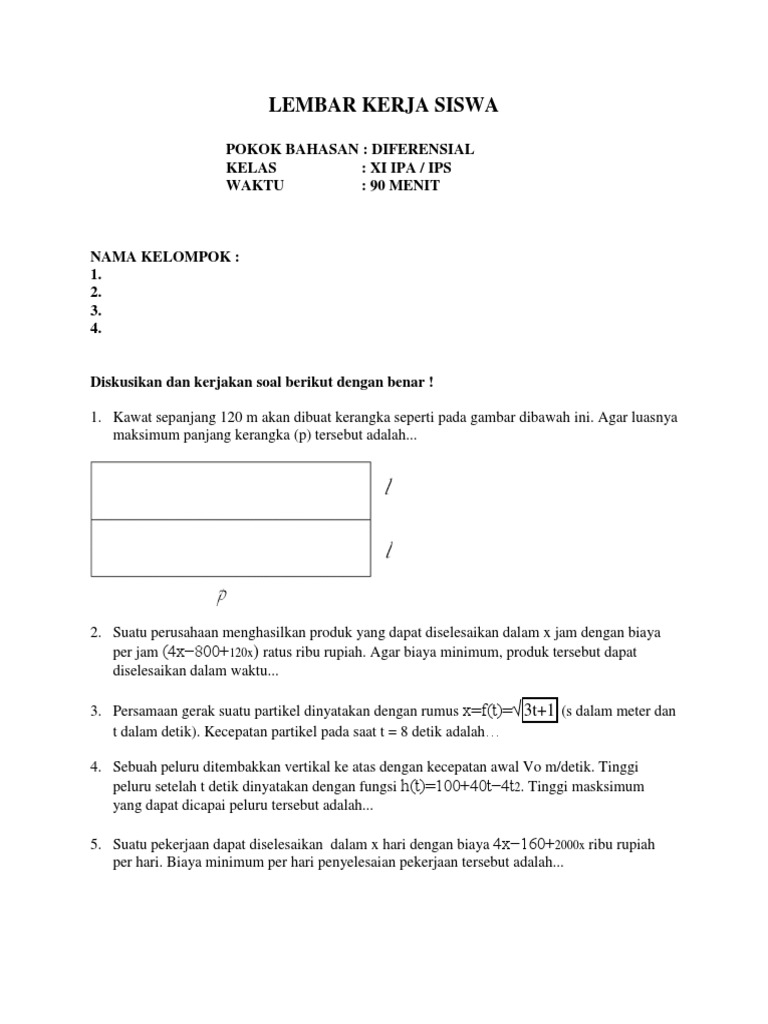
Kawat Sepanjang 120 M Akan Dibuat Kerangka Seperti Pada Gambar

Oct 13, 2020

Kawat sepanjang 120 m akan dibuat kerangka seperti pada gambar. Agar luasnya maksimum, maka - Brainly.co.id Pembahasan Soal UN Aplikasi Turunan - SMAtika kawat sepanjang 120 m akan dibuat kerangka seperti pada gambar, agar luasnya maksimum, panjang - Brainly.co.id Ein Niemand: Soal UN SMA Matematika dan Pembahasannya kawat sepanjang 400 m akan dibuat kerangka seperti pada gambar di atas. luas maksimum kerangka - Brainly.co.id luas maksimal , prediksi UNAS SMA 2016 , DRILL matematika seri 001 no 34 - YouTube MENYELESAIKAN SOAL APLIKASI TURUNAN 2005 - YouTube Day Test Aplikasi Turunan – DAY TEST BLOG ONLINE. Call Center : 081287260518/089616749906 Tolong jawab ya, dengan cara - Brainly.co.id 1 Aplikasi Turunan Dalam 3 Detik Ala Pak IW - YouTube Pembahasan Soal UN Aplikasi Turunan - SMAtika SOAL MATEMATIKA bantu jawab kak, terimakasih - Brainly.co.id Pembahasan Soal UN Aplikasi Turunan - SMAtika soal Pak Dadang memiliki kawat yang panjangnya 5 m kawat tersebut akan digunakan untuk membuat 4 - Brainly.co.id SOAL MATEMATIKA UN 2005 Pembahasan Soal UN Aplikasi Turunan - SMAtika UN Matematika SMP 2018 no 32 - YouTube Pak eko memiliki kawat sepanjang 13 m yang akan dibuat empat kerangka model bangun ruang sperti - Brainly.co.id 2005-2006 soal un matematika DEPARTEMEN PENDIDIKAN NASIONAL UJIAN … UN IPA…Budi tidak lulus ujian. Kesimpulan yang sah adalah ….. A . Budi menjadi pandai B . Budi rajin belajar 5 … - [PDF Document] Latihan Soal Turuna1.docx SOAL-SOAL TURUNAN FUNGSI - Tampomas, Turunan Fungsi, Soal-soal Latihan … Seorang petani mempunyai kawat sepanjang 80 meter, … A. 160 m B. 200 m C. 340 m D. 400 m … - [PDF Document] TUGAS PENGGANTI UH 4 (TURUNAN) - matematika15 - 23- 24 _ 25. Diketa i Has il dari Turunan pertarna dari f(x) 5x3 nil-ai dari d a ri Tu pertarna 4x3 f(x) 2x2 — . SOAL MATEMATIKA UN 2005 Test Online : Ebtanas Pembahasan Soal Matematika - Aplikasi Turunan 11 | Documents Lembar Kerja Siswa: Pokok Bahasan: Diferensial Kelas: Xi Ipa / Ips Waktu: 90 Menit Keliling segitiga ABC pada gambar adalah 8 cm. Panjang sisi AB =… A. 4 - PDF Download Gratis soal un matematika kls xii ipa (lat 2).doc - PAKET UJIAN NASIONAL Pelajaran MATEMATIKA IPA Waktu 120 Menit Pilihlah salah satu jawaban yang tepat Jangan | Course Hero Ringkasan Materi MTS UN SMP 2019 Pages 51 - 100 - Flip PDF Download | FlipHTML5 aplikasi turunan fungsi aljabar xii ipa 2 Quiz - Quizizz UTS Smt 2 Matematika X Wajib (MIPA & IPS) A Keliling segitiga ABC pada gambar adalah 8 cm. Panjang sisi AB =… A. 4 - PDF Download Gratis soalpersamaandanfungsikuadrat.pdf VOLUME DAN LUAS BANGUN RUANG. - ppt download Contoh Soal Model Kerangka Balok Soal Latihan Un Sma Matematika Ipa # 1 wafiq akan membuat 4 kerangka bangun ruang dari kawat seperti gambar berikutJika kawat yang - Brainly.co.id PREDIKSI UJIAN NASIONAL MATEMATIKA TAHUN 2009 sepanjang 120 m akan dibuat kerangka seperti pada gambar… - [PDF Document] Aplikasi Turunan 2 | Mathematics Quiz - Quizizz TURUNAN - Open Knowledge and Education (OKE) PROBLEM SOLVING - tempat bertanya PR Kaskuser (SD, SMP, SMA) - Part 3 - Page 377 | KASKUS 1 . Keliling segitiga ABC pada gambar adalah 8 cm. Panjang … . Nilai rataan dari data pada diagram… soal alplikasi turunan 1 Aplikasi Turunan Dalam 3 Detik Ala Pak IW - YouTube Ein Niemand: Soal UN SMA Matematika dan Pembahasannya Penilaian Harian Aplikasi Turunan Fungsi Aljabar Quiz - Quizizz Contoh Soal Cara Mencari Panjang Sisa Kawat APLIKASI TURUNAN Keliling segitiga ABC pada gambar adalah 8 cm. Panjang sisi AB =… A. 4 - PDF Download Gratis 1 . Keliling segitiga ABC pada gambar adalah 8 cm. Panjang … . Nilai rataan dari data pada diagram… Aplikasi Turunan | Other Quiz - Quizizz TRY OUT UJIAN NASIONAL 2006 - tugasiswa | tugas … viewJika A, B, dan C segaris (kolinier), perbandingan 1 : 2 2 : 1 2 : 5 5 : 7 7 : Ringkasan Materi MTS UN SMP 2019 Pages 51 - 100 - Flip PDF Download | FlipHTML5 Pembahasan Soal UN Aplikasi Turunan - SMAtika Latihan Ujian Nasional Matematika 2009 DOC) APLIKASI TURUNAN | kenz artegan - Academia.edu APLIKASI TURUNAN - Contoh Soal Dan Pembahasan - YouTube SOAL TURUNAN Soal Soal dan Pembahasan UN Matematika SMA IPA 2005 Rama mempunyai kawat sepanjang 5 meter dan akan dibuat kerangka bangun seperti pada gambar diatas hitunglah: a. panjang https://qedems.wordpress.com/2015/03/09/pembuktian-rumus-secara-grafis/ https://qedems.files.wordpress.com/2015/03/asy.png asy 2015-03-09T14:57:51+00:00 monthly https://qedems.wordpress.com/2015/03/06/membuktikan-pertidaksamaan/ https … Ein Niemand: Soal UN SMA Matematika dan Pembahasannya Persiapan un matematika smp 2013 soalPersamaandanfungsikuadrat SOAL-SOAL TURUNAN FUNGSI - Tampomas, Turunan Fungsi, Soal-soal Latihan … Seorang petani mempunyai kawat sepanjang 80 meter, … A. 160 m B. 200 m C. 340 m D. 400 m … - [PDF Document] Soal dan Pembahasan - Aplikasi Turunan (Diferensial) - Mathcyber1997 SOAL TURUNAN.docx Perhatikan kerangka kubus, balok, limas alasnya persegi, dan prisma segitiga sama sisi berikut - Brainly.co.id Soal dan Pembahasan - Aplikasi Turunan (Diferensial) - Mathcyber1997 Maple by Example : Fungsi Kuadrat – ABDUL KARIM 1 . Keliling segitiga ABC pada gambar adalah 8 cm. Panjang … . Nilai rataan dari data pada diagram… VOLUME DAN LUAS BANGUN RUANG. - ppt download Pembahasan Soal UN Aplikasi Turunan - SMAtika SOAL-SOAL TURUNAN FUNGSI - Tampomas, Turunan Fungsi, Soal-soal Latihan … Seorang petani mempunyai kawat sepanjang 80 meter, … A. 160 m B. 200 m C. 340 m D. 400 m … - [PDF Document] Panjang kawat minimal yang diperlukan untuk membuat kerangka limas alasnya berbentuk persegi panjang - YouTube Soal-Soal dan Pembahasan UN Matematika SMA IPA 2005.pdf soalPersamaandanfungsikuadrat.doc - Materi Pokok Persamaan Kuadrat 1 Persamaan kuadrat x2 5x 6 = 0 mempunyai akar akar x1 dan x2 Persamaan kuadrat yang | Course Hero UNAS Latihan lLTTLLTTL1Ll.T PDF) SMA Muhammadiyah 2 Gemolong 1 TRIGONOMETRI I | Jihan Agatha - Academia.edu Keliling segitiga ABC pada gambar adalah 8 cm. Panjang sisi AB =… A. 4 - PDF Download Gratis Soal dan Pembahasan - Aplikasi Turunan (Diferensial) - Mathcyber1997 soalPersamaandanfungsikuadrat f = frekuensi kelas Qj Test Online : Ebtanas Tanya Jawab Matematika Asyik, Mudah, dan Cepat bersama Paman APIQ | Anak KREATIF + + + Berprestasi WA 0818 22 0898 TURUNAN - Open Knowledge and Education (OKE) Ein Niemand: Soal UN SMA Matematika dan Pembahasannya UNAS Latihan - [DOC Document] Aplikasi turunan | Mathematics Quiz - Quizizz Pada segitiga ABC berlaku A B C 180 o maka sin 2 1 BC A cos 2 1 A B sin 2 1 B C | Course Hero kawat sepanjang 120 meter akan dibuat kerangka seperti pada gambar . agar luas penampang kerangka - Brainly.co.id SOAL MATEMATIKA UN 2005 soal un matematika kls xii ipa (lat 2) Differensial - IPA Keliling segitiga ABC pada gambar adalah 8 cm. Panjang sisi AB =… A. 4 - PDF Download Gratis

Gaya Arsitektur Bangunan Kolonial Pada Gambar Diatas Mengikuti Gaya

Mekanisme Pernapasan Yang Ditunjukkan Pada Gambar Adalah