Luas Permukaan Kerucut Terpancung Pada Gambar Di Bawah Ini Adalah

Oct 13, 2020

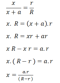
Rumus Volume Kerucut : Luas Permukaan, Tinggi, Dan Gambar Cara Cepat Penyelesaian Soal Volume dan Luas Selimut Kerucut Terpancung - Sekolah Matematika Sains (SMS) PEMBUKTIAN RUMUS KERUCUT TERPANCUNG - MATEMATIKA Geometri ddimensi 3 Cara Cepat Penyelesaian Soal Volume dan Luas Selimut Kerucut Terpancung - Sekolah Matematika Sains (SMS) RUMUS SUPER CEPAT KERUCUT TERPANCUNG - MATEMATIKA sebuah kap lampu berbentuk kerucut terpancung dengan ukuran jari2 lingkaran Atas 9cm Dan jari2 - Brainly.co.id Rumus Luas Selimut dan Volume Kerucut Terpancung - madematika Cara Menghitung Volume Kerucut Terpancung - YouTube gambar di samping menunjukkan sebuah kap lampu berbentuk kerucut terpancung luas bahan yang - Brainly.co.id Cara Mengerjakan Kerucut - Guru Ilmu Sosial Rumus Luas Selimut dan Volume Kerucut Terpancung - madematika Mencari Volume Kerucut Yang Terpotong - Solusi Matematika Mencari Luas Selimut Kerucut Terpancung dengan Mudah dan Cepat - YouTube Rumus Luas Selimut dan Volume Kerucut Terpancung - madematika Rumus Volume Kerucut : Luas Permukaan, Tinggi, Dan Gambar Rumus Luas Permukaan dan Volume Kerucut | idschool RUMUS VOLUME KERUCUT TERPANCUNG.docx Rifandy Blog: RUMUS VOLUME KERUCUT TERPANCUNG (EMBER) BESERTA PEMBUKTIANNYA Rumus Volume Kerucut : Luas Permukaan, Tinggi, Dan Gambar perhatikan gambar kerucut di atas. jika phi = 22/7, tentukana. volume kerucut yang terpancung;b. - Brainly.co.id Rumus Luas Selimut dan Volume Kerucut Terpancung - madematika Geometri ddimensi 3 Contoh Soal Bangun Ruang Sisi Lengkung Tabung Kerucut dan Bola – Matematika 123 Gambar disamping adalah sebuah kap lampu berbentuk kerucut terpancung. Hitunglah luas kain yang - Brainly.co.id Rumus Luas Permukaan dan Volume Kerucut | idschool Rumus Volume Kerucut : Luas Permukaan, Tinggi, Dan Gambar diameter kerucut 28 cm garis pelukisnya 20 cm hitung luas permukaan nya dalam cm pangkat 2?tolong - Brainly.co.id Contoh Soal Volume Kerucut | Contoh Soal Dan Materi Pelajaran 7 Luas Permukaan Kerucut | cara aimyaya | Cara Semua Cara RUMUS VOLUME KERUCUT TERPANCUNG.docx Rumus Cepat Volume Tabung - Guru Ilmu Sosial Kumpulan Contoh Soal: Contoh Soal Volume Kerucut Terpancung PEMBUKTIAN RUMUS KERUCUT TERPANCUNG - MATEMATIKA Rumus Luas Selimut dan Volume Kerucut Terpancung - madematika Rumus Volume Kerucut : Luas Permukaan, Tinggi, Dan Gambar Rumus Kerucut Berserta Contoh Soal dan Jawaban - PINTERPandai Cara Menghitung Luas Permukaan Kerucut - YouTube Rumus Luas Selimut Kerucut dan Contoh Soalnya GEOMETRI RUANG “TABUNG DAN KERUCUT” | WELCOME TO KAWRUH MATHEMATICS Rumus Kerucut - Volume Luas Permukaan dan Tinggi suatu kap lampu berbentuk kerucut terpancung. panjang jari-jari lingkaran alas 5 cm dan jari-jari - Brainly.co.id Geometri Pengukuran Rumus Luas Selimut dan Volume Kerucut Terpancung - madematika Rumus Luas Permukaan dan Volume Kerucut | idschool Modul Bangun Ruang Cara Mengerjakan Bangun Ruang Kerucut - Guru Ilmu Sosial Rumus Volume Kerucut : Luas Permukaan, Tinggi, Dan Gambar Luas Permukaan Kerucut | cara aimyaya | Cara Semua Cara Bab 5 MATEMATIKA Soal dan Pembahasan - Bangun Ruang (Tingkat SMP/Sederajat) - Mathcyber1997 Makalah Kerucut Kel 5 Rifandy Blog: PEMBUKTIAN RUMUS LUAS SELIMUT KERUCUT TERPANCUNG 2 menghitung-luas-permukaan-bangun-ruang 8. Jika jari-jari permukaan kerucut terpancung adalah r=0,3m dan R=0,8m, serta tinggi kerucut - Brainly.co.id Rumus Volume Kerucut : Luas Permukaan, Tinggi, Dan Gambar Volum Kerucut Terpancung Rumus Luas Permukaan dan Volume Kerucut | idschool Rumus Luas Selimut dan Volume Kerucut Terpancung - madematika RUMUS SUPER CEPAT KERUCUT TERPANCUNG - MATEMATIKA Rumus Volume Kerucut : Luas Permukaan, Tinggi, Dan Gambar gambar berikut menunjukkan kap lampu dengan panjang jari jari lingkaran atas 5 cm dan jari jari - Brainly.co.id bangun ruang 2 menghitung-luas-permukaan-bangun-ruang Rumus Volume Kerucut : Luas Permukaan, Tinggi, Dan Gambar Contoh Soal dan Pembahasan-Kerucut SMP (Bangun Ruang Sisi Lengkung) Cara Cepat Penyelesaian Soal Volume dan Luas Selimut Kerucut Terpancung - Sekolah Matematika Sains (SMS) RUMUS SUPER CEPAT KERUCUT TERPANCUNG - MATEMATIKA Suatu kerucut memiliki diameter alas 14cm dan tinggi 24 cm. luas permukaan kerucut adalah…… - YouTube Bangun Ruang Sisi Lengkung: Macam, Sifat, Rumus, Soal, Pembahasan BAB I PENDAHULUAN Rumus Luas Permukaan dan Volume Kerucut | idschool Bangun Ruang Sisi Lengkung: Macam, Sifat, Rumus, Soal, Pembahasan DOC) 10 Ruang Dimensi Tiga | revina windiana - Academia.edu Rumus Keliling Alas Kerucut Beserta Contoh Soalnya tabung terbelah, bangun ruang sisi lengkung, bse matematika smp kelas 9 ,k13 uk5 no34566a by Insight Chamber Integral Lipat Dalam Menghitung Volume dan Luas Permukaan Benda Geometri Sederhana dan Terpancung Apa itu - kerucut terpotong? metode produksi. parameter bentuk linear. formula untuk volume dan luas permukaan - Pendidikan menengah dan sekolah - 2020 PDF) geometri ruang | Loekman Thelucky - Academia.edu Rumus Volume Kerucut dan Rumus Luas Kerucut Rumus Volume Kerucut : Luas Permukaan, Tinggi, Dan Gambar Tutup lampu berbentuk kerucut terpotong seperti gambar di atas.Luas minimun bahan yg diperlukan - Brainly.co.id BANGUN RUANG SISI LENGKUNG GEOMETRI RUANG 2016 UNNES ROMBEL 2 Pembahasan Soal Kerucut 2 | House of Math Centre Rumus Luas Selimut dan Volume Kerucut Terpancung - madematika soal lATIHAN 1 - [DOCX Document] Rumus Kerucut - Volume Luas Permukaan dan Tinggi Bangung Ruang Sisi Lengkung - [DOCX Document] Contoh Soal Bangun Ruang Sisi Lengkung Tabung Kerucut dan Bola – Matematika 123 Soal-Soal Kerucut dan Pembahasannya – Rumus Matematika Volum Kerucut Terpancung - [PDF Document] Soal-Soal Kerucut dan Pembahasannya – Rumus Matematika Contoh Soal dan Pembahasan-Kerucut SMP (Bangun Ruang Sisi Lengkung) Rumus Kerucut : Pengertian, Ciri, Sifat, Unsur dan Contoh Soalnya Lengkap – Pelajaran Sekolah Online soal lATIHAN 1 GAMBAR BUKAAN/BENTANGAN GEOMETRI, GEOMETRI LANJUT BENDA KERUCUT/KONIS Integral Lipat Dalam Menghitung Volume dan Luas Permukaan Benda Geometri Sederhana dan Terpancung Rumus Volume Kerucut : Luas Permukaan, Tinggi, Dan Gambar Rumus Luas Selimut Kerucut dan Contoh Soalnya UH bangun ruangsisilengkung

Cara Mengubah Ukuran Gambar Di Word Menjadi Cm

Cara Menyisipkan Gambar Di Word 2007