Ciri Gambar Isometri Pada Sumbu

Oct 13, 2020

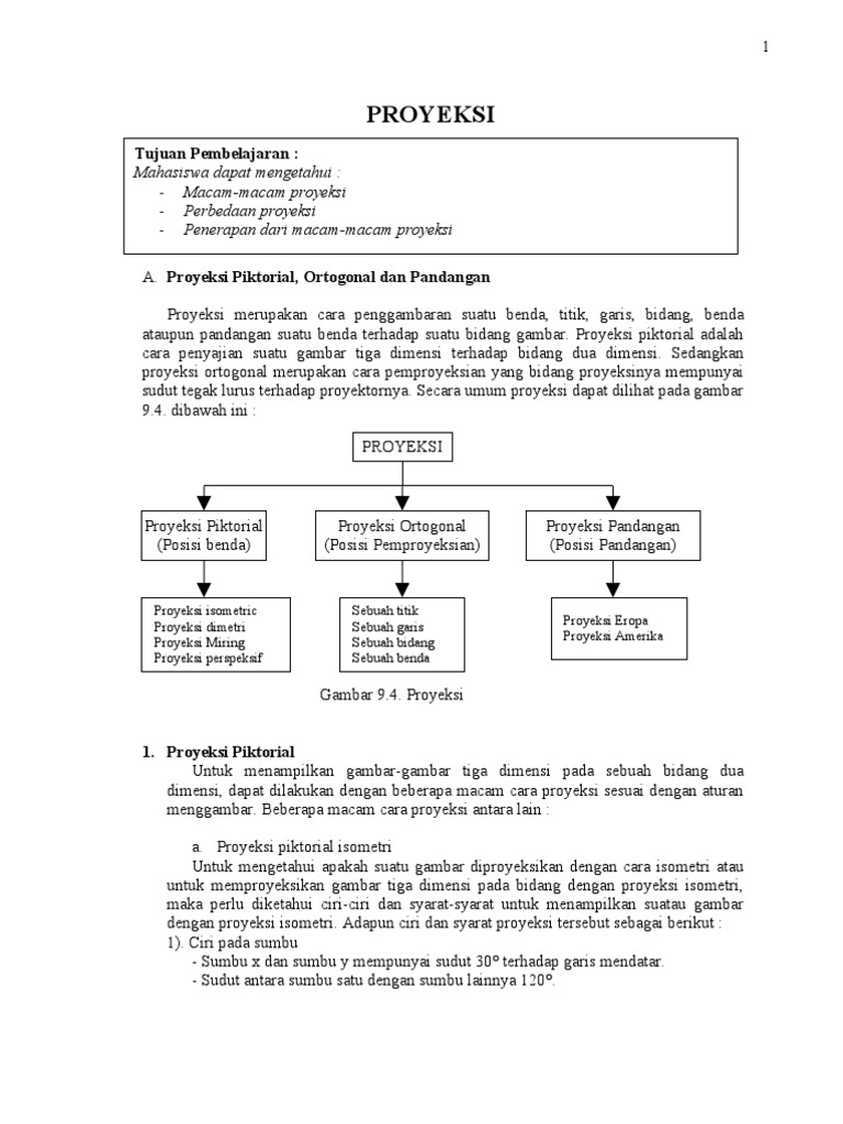
2.2 gambar proyeksi 2.2 gambar proyeksi mesin: Proyeksi Isometris Materi Menggambar Mesin (Proyeksi dan Dimensi) - Kepanen.com GAMBAR PROYEKSI (bagian 1) – DPIB SMKN2 KLATEN 2.2 gambar proyeksi Mengenal Proyeksi Isometri (Pengertian, Ciri-Ciri, Contoh) - Sekolah Kami Begini Cara Mengubah Gambar Ortogonal Menjadi Proyeksi Isometri – Kursus Operator Mesin CNC Bekasi Proyeksi Piktorial PROYEKSI ISOMETRI | Catatan Indah Sebuah Pena Bahan bacaan 2.2 gambar proyeksi - [PDF Document] Forum Diskusi - Didit Eko Prasetyo 2.2 gambar proyeksi - [PDF Document] Proyeksi Piktorial Isometric DOC) Proyeksi_dan_dimensi dlm bangunan | Ginanjar Dwi Prasetyo - Academia.edu PROYEKSI - untuk menampilkan suatau gambar dengan proyeksi isometri. Adapun ciri dan syarat proyeksi - [PDF Document] Gambar Proyeksi Piktorial ~ Guru Listrik Keren GAMBAR PROYEKSI (bagian 1) – DPIB SMKN2 KLATEN DOC) Rpp proyeksi pictrokal smstr | Nashrudin Nashrudin - Academia.edu Bahan bacaan 2.2 gambar proyeksi - [PDF Document] Dimetri: Pengertian proyeksi dimetri dan ciri penting . GAMBAR PROYEKSI (bagian 1) – DPIB SMKN2 KLATEN Bahan bacaan 2.2 gambar proyeksi - [PDF Document] Gambar Proyeksi Piktorial ~ Guru Listrik Keren 2.2 gambar proyeksi - [PDF Document] mesin: Proyeksi Isometris Dfgvb Gambar Proyeksi Piktorial ~ Guru Listrik Keren Gambar teknik - [PPT Powerpoint] Proyeksi Piktorial (Fungsi dan Cara Menggambar) - Sekolah Kami teks maths t2-Flip Book Pages 251-300 | PubHTML5 MATERI PROYEKSI.docx Handout Isometri Dimetri Soal gambar proyeksi piktorial - Teknik Pemesinan PDF) Proyeksi dalam Gambar Teknik | intan mustika sari - Academia.edu PROYEKSI PIKTOR.pptx’ DASAR MENGGAMBAR TEKNIK - ppt download Mengenal Proyeksi Dimetri (Pengertian, Ciri Ciri, Contoh) - Sekolah Kami 2.2 gambar proyeksi - [PDF Document] Proyeksi merupakan cara penggambaran suatu benda, titik, garis, bidang, benda ataupun pandangan suatu benda terhadap suatu bidan DASAR MENGGAMBAR TEKNIK - ppt download Contoh Gambar Proyeksi Isometri – Kumpulan Foto Belajar proyeksi isometri mesin: Proyeksi Isometris Proyeksi Dimetri | Catatan Indah Sebuah Pena KEGIATAN BELAJAR 3 Tugas Auto CAD DOC) PANDANGAN DAN POTONGAN | Apriliene Sidabutar - Academia.edu 2.2 gambar proyeksi - [PDF Document] Gambar teknik Proyeksi Piktorial (Fungsi dan Cara Menggambar) - Sekolah Kami PROYEKSI ISOMETRI | Catatan Indah Sebuah Pena Blogger Muda: PROYEKSI GAMBAR Mengenal 10 Proyeksi Gambar Teknik (Pengertian dan Karakteristik) - Sekolah Kami Pas Gamtek x Tkr Belajar proyeksi isometri Kd 1.1 Blogger Muda: PROYEKSI GAMBAR PROYEKSI - untuk menampilkan suatau gambar dengan proyeksi isometri. Adapun ciri dan syarat proyeksi - [PDF Document] Cara Untuk Menampilkan Gambar Tiga Dimensi Pada Sebuah Bidang Dua Dimensi Dapat Kita Lakukan Dengan Beberapa Cara Proyeksi Sesuai Dengan Atuaran Menggambar DASAR MENGGAMBAR TEKNIK - ppt download Menggambar teknik Mengenal Proyeksi Dimetri (Pengertian, Ciri Ciri, Contoh) - Sekolah Kami Matematik_Tingkatan_2 - cutted11 Pages 1 - 19 - Flip PDF Download | FlipHTML5 PROYEKSI - untuk menampilkan suatau gambar dengan proyeksi isometri. Adapun ciri dan syarat proyeksi - [PDF Document] Proyeksi Dimetri | Catatan Indah Sebuah Pena Materi Menggambar Mesin (Proyeksi dan Dimensi) - Kepanen.com Proyeksi Piktorial Electrical Aircraft Drawings SMK Kelas XI - Semester 3 - Kurikulum 2013 GAMBAR TEKNIK MESIN.docx DASAR MENGGAMBAR TEKNIK - ppt download Gambar teknik Bab 05a memahami gambar teknik TEKNIK MESIN RANGKUMAN PROYEKSI.docx 2.2 gambar proyeksi 1. Proyeksi 2.2 gambar proyeksi Matematik_Tingkatan_2 - cutted11 Pages 1 - 19 - Text Version | AnyFlip Untitled PROYEKSI - untuk menampilkan suatau gambar dengan proyeksi isometri. Adapun ciri dan syarat proyeksi - [PDF Document] PROYEKSI PIKTORIAL.docx Gambar 41 grafik pembagian proyeksi Aircraft Electrical Drawing Halaman 56 | Course Hero Proyeksi Pictorial 4. VISUALISASI DAN GAMBAR SKET - PDF Free Download Gambar Teknik - [PDF Document] aksonometri | TECHNOLOGICAL BAB IV GAMBAR TEKNIK 1. Mengenal Alat Menggambar Teknik Belajar proyeksi isometri GAMBAR PROYEKSI (bagian 1) – DPIB SMKN2 KLATEN PDF) PROYEKSI | Faizal Ramadhan - Academia.edu Mengenal Proyeksi Isometri (Pengertian, Ciri-Ciri, Contoh) - Sekolah Kami Irma Damayantie, S.Ds., M.Ds. Prodi Desain Interior - FDIK - ppt download 3-proyeksi-piktorial MEMBACA GAMBAR TEKNIK - PDF Download Gratis PROYEKSI - [DOCX Document] BAB IV GAMBAR TEKNIK 1. Mengenal Alat Menggambar Teknik DASAR MENGGAMBAR TEKNIK - ppt download Gambar 2D Dan 3D Proyeksi Dan Dimensi Gambar Teknik - [DOC Document] Mengenal Proyeksi Isometri (Pengertian, Ciri-Ciri, Contoh) - Sekolah Kami

Gambar Sketsa Pohon Kelapa Sawit

Gambar Atm Bri Rusak